Teksta versija
LATVIJAS REPUBLIKAS TIESĪBU AKTI
uz sākumu
Izvērstā meklēšana
Autorizēties savā kontā

Kādēļ autorizēties vai reģistrēties?
 
Tiesību akts zaudēs spēku 2027. gada 1. janvārī.

Ādažu novada pašvaldības domes saistošie noteikumi Nr. 7/2026

Ādažos 2026. gada 26. martā

Grozījumi Ādažu novada pašvaldības domes 2026. gada 29. janvāra saistošajos noteikumos Nr. 1/2026 "Par Ādažu novada pašvaldības budžetu 2026. gadam"

APSTIPRINĀTI
ar Ādažu novada pašvaldības domes
2026. gada 26. marta sēdes lēmumu (prot. Nr. 6 § 36)

Izdoti saskaņā ar Pašvaldību likuma 10. panta pirmās daļas 1. punktu
un 48. pantu, likuma "Par pašvaldību budžetiem" 16. un 17. pantu
un likuma "Par budžetu un finanšu vadību" 6. pantu

Izdarīt Ādažu novada pašvaldības domes 2026.gada 29. janvāra saistošajos noteikumos Nr. 1/2026 "Par Ādažu novada pašvaldības budžetu 2026. gadam" šādus grozījumus:

1. Izteikt noteikumu 2. punkta 2.3., 2.3.1., 2.3.2., 2.3.3. un 2.3.4. apakšpunktus šādā redakcijā:

2.3. "pamatbudžets 2026. gadā (1. pielikums):

2.3.1. ieņēmumi - EUR 67 519 371;

2.3.2. izdevumi - EUR 82 526 605;

2.3.3. plānotie aizņēmumi - EUR 10 307 001;

2.3.4. atmaksājamā summa Valsts kases kredītiem (2. pielikums) - EUR 3 907 497".

Ādažu novada pašvaldības domes
priekšsēdētāja vietnieks attīstības jautājumos G. Miglāns

 

1. pielikums
Ādažu novada pašvaldības domes 2026. gada 26. marta saistošajiem noteikumiem
Nr. 7/2026 "Grozījumi Ādažu novada pašvaldības domes 2026. gada 29. janvāra
saistošajos noteikumos Nr. 1/2026 "Par Ādažu novada pašvaldības budžetu 2026. gadam""

Pamatbudžets 2026. gadam

IEŅĒMUMU DAĻA

Klasifikācijas kods

Nr.p.k.

Sadaļa

2026. gada budžets

26.03.2026. grozījumi

Izmaiņas

  1.-5. Nodokļu ieņēmumi

44 951 568

44 951 568

 

1.1.0.0. 1. Iedzīvotāju ienākuma nodoklis

41 652 563

41 652 563

 

  1.1. pārskata gada

41 652 563

41 652 563

 

  2.-4. Nekustamā īpašuma nodokļu ieņēmumi

3 224 005

3 224 005

 

4.1.1.0. 2. Nekustamā īpašuma nodoklis par zemi

2 046 793

2 046 793

 

  2.1. pārskata gada

1 945 591

1 945 591

 

  2.2. iepriekšējo gadu parādi

101 202

101 202

 

4.1.2.0. 3. Nekustamā īpašuma nodoklis par ēkām

446 928

446 928

 

  3.1. pārskata gada

392 304

392 304

 

  3.2. iepriekšējo gadu parādi

54 624

54 624

 

4.1.3.0. 4. Nekustamā īpašuma nodoklis par mājokļiem un inženierbūvēm

730 284

730 284

 

  4.1. pārskata gada

670 099

670 099

 

  4.2. iepriekšējo gadu parādi

60 185

60 185

 

5.5.3.0. 5. Nodokļi un maksājumi par tiesībām lietot atsevišķas preces

75 000

75 000

 

  5.1. Azartspēļu nodoklis

5 000

5 000

 

  5.2. Dabas resursu nodoklis

70 000

70 000

 

9.0.0.0. 6. Valsts (pašvaldību) un kancelejas nodevas

144 300

144 300

 

  6.1. valsts nodevas

6 100

6 100

 

  6.1.1. t.sk.: - par apliecinājumiem un citu funkciju pildīšanu bāriņtiesā

1 100

1 100

 

  6.1.2. t.sk.: - par civilstāvokļa aktu reģistrēšanu, grozīšanu un papildināšanu

4 500

4 500

 

  6.1.3. t.sk.: - pārējās valsts nodevas, kuras ieskaita pašvaldību budžetā

500

500

 

  6.2. pašvaldību nodevas

138 200

138 200

 

  6.2.1. t.sk.: - nodeva par domes izstrādāto oficiālo dokumentu saņemšanu

100

100

 

  6.2.2. t.sk.: - nodeva par izklaidējoša rakstura pasākumu sarīkošanu publiskās vietās

4 300

4 300

 

  6.2.3. t.sk.: - nodeva par tirdzniecību publiskās vietās

37 000

37 000

 

  6.2.4. t.sk.: - nodeva par reklāmas, afišu un sludinājumu izvietošanu publiskās vietās

22 000

22 000

 

  6.2.5. t.sk.: - nodeva par būvatļaujas saņemšanu

70 000

70 000

 

  6.2.6. t.sk.: - pārējās nodevas

4 800

4 800

 

10.0.0.0. 7. Naudas sodi un sankcijas

130 000

130 000

 

  7.1. Naudas sodi un sankcijas

90 000

90 000

 

  7.2. Naudas sodi par pārkāpumiem ceļu satiksmē

40 000

40 000

 

12.0.0.0. 8. Pārējie nenodokļu ieņēmumi

38 728

38 728

 

  8.1. citi nenodokļu ieņēmumi

28 728

28 728

 

  8.2. ieņēmumi no zvejas tiesību nomas

10 000

10 000

 

13.0.0.0. 9. Ieņēmumi no pašvaldības īpašumu pārdošana

-

-

 

18.6.0.0. 10. Valsts budžeta transferti un projektu finansējums

21 107 234

21 152 808

45 574

  10.1. Valsts budžeta transferti

10 832 171

10 832 211

40

  10.1.1. dotācija mākslas skolas algām

849 067

849 067

 

  10.1.2. dotācija sporta skolai

339 462

339 462

 

  10.1.3. dotācija skolēnu ēdināšanai

388 794

388 794

 

  10.1.4. dotācijas pedagogu algām (vsk., PII)

7 742 323

7 742 323

 

  10.1.4.1. t.sk.: - piecgadīgo bērnu apmācība

997 247

997 247

 

  10.1.4.2. t.sk.: - skolotāju algām

6 172 209

6 172 209

 

  10.1.4.3. t.sk.: - interešu izglītība

572 867

572 867

 

  10.1.5. dotācija māksliniecisko kolektīvu vadītāju atalgojumam

26 226

26 226

 

  10.1.6. Projekts "Skolas soma" Ādaži

42 000

42 080

80

  10.1.7. Projekts "Skolas soma" Carnikava

15 980

15 940

-40

  10.1.8. dotācija asistenta pakalpojumu nodrošināšanai

642 000

642 000

 

  10.1.9. valsts dotācija ceļu uzturēšanai

401 002

401 002

 

  10.1.10. dotācijas Ukrainas pilsoņu atbalstam

52 500

52 500

 

  10.1.11. dotācijas nodarbinātības pasākumiem

5 000

5 000

 

  10.1.12. pārējās dotācijas

327 817

327 817

 

18.6.3.0. 10.2. ES struktūrfondu līdzekļi un aktivitāšu līdzfinansējumi

9 327 908

9 373 442

45 534

  10.2.1. Projekts "Infrastruktūras uzlabošana uzņēmējdarbības attīstībai Ādažos"

918 723

918 723

 

  10.2.2. Publiskās ārtelpas izveide Gaujas ielā 31 Ādažos

357 424

357 424

 

  10.2.3. ES Kohēzijas fonda projekts "STEM un pilsoniskās līdzdalības norises plašākai izglītības pieredzei un karjeras izvēlei"

7 315

7 315

 

  10.2.4. Pedagogu profesionālā atbalsta sistēmas izveide

60 717

106 251

45 534

  10.2.5. SAM 9.2.4.2. projekts "Pasākumi vietējās sabiedrības veselības veicināšanai Ādažu novadā"

9 799

9 799

 

  10.2.6. Krastupes ielas projekts

971 940

971 940

 

  10.2.7. Jaunas pirmsskolas izglītības iestādes Podniekos būvniecība

1 403 714

1 403 714

 

  10.2.8. Projekts "Izglītības iestāžu nodrošinājums pilnveidotā vispārējās izglītības satura kvalitatīvai ieviešanai Ādažu novadā"

529 141

529 141

 

  10.2.9. Projekts "Digitālā darba ar jaunatni sistēmas attīstība pašvaldībās"

714

714

 

  10.2.10. "Mobilitātes punkta infrastruktūras izveidošana Rīgas metropoles areālā - "Carnikava""

345 549

345 549

 

  10.2.11. Maģistrālā veloceļa izbūve Rīga-Carnikava

3 050 102

3 050 102

 

  10.2.12. LEADER projektu realizācija

49 416

49 416

 

  10.2.13. "Upesceļi II/Ūdenstūrisma pieejamības veicināšana (RiverwaysII/Facilitating access to watertourism activities)".

36 495

36 495

 

  10.2.14. Projekts "Bioloģiskās daudzveidības saglabāšana un antropogēnās slodzes mazināšana Natura2000 teritorijās Ādažu novadā"

768 795

768 795

 

  10.2.15. Multimodāls sabiedriskā transporta tīkls, 2. kārta"

309 907

309 907

 

  10.2.16. Patvertņu pielāgošana un aprīkošana civiliem aizsardzības mērķiem

97 353

97 353

 

  10.2.17. Šķiroto atkritumu savākšanas laukums Laivu ielā 12, Carnikavā

140 804

140 804

 

  10.2.18. Laveru sūkņu stacijas pārbūve

270 000

270 000

 

  10.3. IIN budžeta dotācija

947 155

947 155

 

19.2.0.0. 11. Pašvaldību budžeta transferti

355 000

355 000

 

  11.1. no citām pašvaldībām izglītības funkciju nodrošināšanai

355 000

355 000

 

21.0.0.0. 12. Budžeta iestāžu ieņēmumi

733 037

746 967

13 930

  12.1. maksa par izglītības pakalpojumiem

175 118

175 118

 

  12.1.1. ieņēmumi no vecāku maksām (PII)

12 318

12 318

 

  12.1.2. ieņēmumi no vecāku maksām (ĀNMS, BJSS)

162 800

162 800

 

  12.2. pārrobežu projektu ieņēmumi

17 472

17 472

 

  12.2.1. ERASMUS + projekti

17 472

17 472

 

  12.3. ieņēmumi par nomu un īri

339 912

339 912

 

  12.3.1. ieņēmumi par telpu nomu

236 912

236 912

 

  12.3.2. ieņēmumi par zemes nomu

103 000

103 000

 

  12.4. budžeta iestāžu maksas pakalpojumi

110 535

110 535

 

  12.4.1. budžeta iestāžu maksas pakalpojumi

108 535

108 535

 

  12.4.2. ieņēmumi no biļešu realizācijas

2 000

2 000

 

  12.5. pārējie ieņēmumi/stāvvietu ieņēmumi

90 000

103 930

13 930

   

KOPĀ IEŅĒMUMI:

67 459 867

67 519 371

59 504

F21010000 AS 13. Naudas līdzekļu atlikums gada sākumā

8 710 284

8 711 325

1 041

  13.1. Naudas atlikums iezīmētiem mērķiem

2 007 294

2 007 294

 

  13.2. Naudas atlikums pašvaldības līdzekļi

6 702 990

6 704 031

1 041

F40020010 14. Valsts Kases kredīti

10 307 001

10 307 001

 

  14.1. Jaunas pirmsskolas izglītības iestādes Podniekos būvniecība

7 506 469

7 506 469

 

  14.2. Ādažu vidusskolas D korpusa siltināšana

49 699

49 699

 

  14.3. Dzirnupes ielas tilta pārbūve I kārta

479 480

479 480

 

  14.4. Projekts "Infrastruktūras uzlabošana uzņēmējdarbības attīstībai Ādažos"

240 428

240 428

 

  14.5. Krastupes ielas projekts

1 153 191

1 153 191

 

  14.6. "Mobilitātes punkta infrastruktūras izveidošana Rīgas metropoles areālā - "Carnikava""

8 588

8 588

 

  14.7. Maģistrālā veloceļa izbūve Rīga-Carnikava

869 146

869 146

 

 

KOPĀ PIEEJAMAIS FINANSĒJUMS:

86 477 152

86 537 697

60 545

IZDEVUMU DAĻA

Klasifikācijas kods

Nr.p.k.

Sadaļa

2026. gada budžets

26.03.2026. grozījumi

Izmaiņas

01.000 1. Vispārējie valdības dienesti

12 115 776

12 133 954

18 178

  1.1. pārvalde

2 251 986

2 270 164

18 178

  1.2. deputāti

339 144

339 144

 

  1.3. administratīvā komisija

43 957

43 957

 

  1.4. iepirkumu komisija

45 157

45 157

 

  1.5. vēlēšanu komisija

99 246

99 246

 

  1.6. pārējās komisijas

16 344

16 344

 

  1.7. aizņēmumu procentu maksājumi

1 402 431

1 402 431

 

  1.8. Iemaksas PFIF

7 376 681

7 376 681

 

  1.9. Informācijas tehnoloģiju nodaļa, vispārējas nozīmes dienestu darbība un pakalpojumi - datortīkla uzturēšana

540 830

540 830

 

03.000 2. Sabiedriskā kārtība un drošība

1 223 875

1 223 875

 

04.000 3. Ekonomiskā darbība

718 532

718 532

 

  3.1. Sabiedriskās attiecības, laikraksts

236 187

236 187

 

  3.2. Autoceļu fonds

482 345

482 345

 

05.000 4. Vides aizsardzība

35 606

35 606

 

  4.1. Dabas resursu nodokļa izlietojums

35 606

35 606

 

06.000 5. Pašvaldības teritoriju un mājokļu apsaimniekošana

24 806 240

24 823 592

17 352

  5.1. Izdevumi neparedzētiem gadījumiem

70 000

70 000

 

  5.2. Līdzdalības budžets

81 528

81 528

 

  5.3. Būvvalde

356 794

356 794

 

  5.4. Teritorijas plānošanas nodaļa

291 217

291 217

 

  5.5. Attīstības un projektu nodaļa

12 178 159

12 159 685

-18 474

  5.5.1. nodaļa

741 080

711 716

-29 364

  5.5.2. Projekts "Sabiedrība ar dvēseli"

40 150

40 150

 

  5.5.3. Iedzīvotāju iniciatīvas un konkursi.

11 400

11 400

 

  5.5.4. TEP "Atjaunojamo energoresursu izmantošana Ādažu novadā" (EUCF)

30 654

30 654

 

  5.5.5. "Mobilitātes punkta infrastruktūras izveidošana Rīgas metropoles areālā - "Carnikava""

354 137

354 137

 

  5.5.6. Maģistrālā veloceļa izbūve Rīga-Carnikava

3 925 860

3 925 860

 

  5.5.7. "Upesceļi II/Ūdenstūrisma pieejamības veicināšana (RiverwaysII/Facilitating access to watertourism activities)".

42 495

42 495

 

  5.5.8. Projekts "Infrastruktūras uzlabošana uzņēmējdarbības attīstībai Ādažos"

1 271 381

1 271 381

 

  5.5.9. Publiskās ārtelpas izveide Gaujas ielā 31 Ādažos

660 558

660 558

 

  5.5.10. LIFE NewBauhaus projekts

850 912

861 802

10 890

  5.5.11. "Blusu" kroga pārbūves tehniskā projekta izstrāde.

404 972

404 972

 

  5.5.12. Krastupes ielas projekts

2 415 898

2 415 898

 

  5.5.13. Projekts "Bioloģiskās daudzveidības saglabāšana un antropogēnās slodzes mazināšana Natura2000 teritorijās Ādažu novadā"

987 120

987 120

 

  5.5.14. Multimodāls sabiedriskā transporta tīkls, 2. kārta"

326 348

326 348

 

  5.5.15. Patvertņu pielāgošana un aprīkošana civiliem aizsardzības mērķiem

115 194

115 194

 

  5.6. Objektu un teritorijas apsaimniekošana un uzturēšana

11 828 542

11 864 368

35 826

  5.6.1. Nekustamā īpašumas nodaļa

209 419

215 419

6 000

  5.6.2. SAM 5.1.1. Pretplūdu pasākumi Ādažu centra polderī, Ādažu novadā

191 255

191 255

 

  5.6.3. Jaunais plūdu projekts - 2.1.3.2. "Nacionālas nozīmes plūdu un krasta erozijas pasākumi" 1. daļa 193 242 193 242

 

  5.6.4. Vecštāles ceļa asfaltēšana (AM finansējums) 888 703 888 703

 

  5.6.5. Dzirnupes ielas tilta pārbūve I kārta, MRG būve, Nr. 02-20.1/25/167 575 345 575 345

 

  5.6.6. Šķiroto atkritumu savākšanas laukums Laivu ielā 12, Carnikavā 268 729 268 729

 

  5.6.7. Laveru sūkņu stacijas pārbūve 613 434 613 434

 

  5.6.8. P/A "Carnikavas komunālserviss" teritorijas un īpašumu apsaimniekošana

6 348 646

6 378 472

29 826

  5.6.9. Investīcijas energosaimniecības uzlabošanā

516 833

516 833

 

  5.6.10. Investīcijas ceļu, ielu infrastruktūras attīstībā un uzlabošanā

1 925 648

1 925 648

 

  5.6.11. Investīcijas hidromeliorācijas uzturēšanā un attīstībā

97 288

97 288

 

08.000 6. Atpūta, kultūra un reliģija

2 992 843

3 010 993

18 150

  6.1. Kultūra

1 635 359

1 635 359

 

  6.1.1. Ādažu kultūras centrs

815 272

815 272

 

  6.1.2. Tautas nams "Ozolaine"

566 368

566 368

 

  6.1.3. Muzejs un Carnikavas novadpētniecības centrs

207 547

207 547

 

  6.1.4. Tūrisms

46 172

46 172

 

  6.2. Ādažu bibliotēka

162 922

162 922

 

  6.3. Carnikavas bibliotēka

77 820

77 820

 

  6.4. Sporta daļa

1 091 514

1 109 664

18 150

  6.5. Evaņģēliski luteriskās draudzes

6 000

6 000

 

  6.6. Multihalle

19 228

19 228

 

10.000 7. Sociālā aizsardzība

3 909 733

3 909 733

 

  7.1. Sociālais dienests

3 179 724

3 179 724

 

  7.1.1. Sociālās funkcijas nodrošināšana

685 615

685 615

 

  7.1.2. Pabalsti

1 850 342

1 850 342

 

  7.1.3. Mērķdotācija

-

-

 

  7.1.4. Asistentu pakalpojumi

642 000

642 000

 

  7.1.5. Uzturēšanas izdevumi (CKS)

1 767

1 767

 

  7.2. Stipendiāti / bezdarbnieki

6 869

6 869

 

  7.3. SAM 9311 Deinstitucionalizācija - Dienas centrs

454 885

454 885

 

  7.3.1. DI centra uzturēšanas izdevumi

443 236

443 236

 

  7.3.2. DI centra uzturēšanas izdevumi (CKS)

11 649

11 649

 

  7.4. Bāriņtiesa

167 400

167 400

 

  7.5. Dotācijas Ukrainas pilsoņu atbalstam

53 636

53 636

 

  7.6. SAM 9.2.4.2. projekts "Pasākumi vietējās sabiedrības veselības veicināšanai"

47 219

47 219

 

09.000 8. Izglītība

36 616 746

36 670 320

53 574

  8.1. Norēķini ar pašvaldību budžetiem par izglītības iestāžu pakalpojumiem

800 000

800 000

 

  8.2. Ādažu Pirmsskolas izglītības iestāde

2 528 122

2 527 822

-300

  8.2.1. pedagogu algas, grāmatas (mērķdotācija)

386 470

386 470

 

  8.2.2. pārējās izmaksas

1 691 795

1 691 495

-300

  8.2.3. ES Kohēzijas fonda projekts "STEM un pilsoniskās līdzdalības norises plašākai izglītības pieredzei un karjeras izvēlei"

2 857

2 857

 

  8.2.4. uzturēšanas izmaksas (CKS)

447 000

447 000

 

  8.3. Kadagas PII

1 472 568

1 472 568

 

  8.3.1. pedagogu algas, grāmatas (mērķdotācija)

167 072

167 072

 

  8.3.2. pārējās izmaksas

1 068 814

1 068 814

 

  8.3.3. ES Kohēzijas fonda projekts "STEM un pilsoniskās līdzdalības norises plašākai izglītības pieredzei un karjeras izvēlei"

1 643

1 643

 

  8.3.4. uzturēšanas izmaksas (CKS)

235 039

235 039

 

  8.4. Pirmsskolas izglītības iestāde "Riekstiņš"

1 764 581

1 764 581

 

  8.4.1. pedagogu algas, grāmatas (mērķdotācija)

201 671

201 671

 

  8.4.2. pārējās izmaksas

1 322 431

1 322 431

 

  8.4.3. ES Kohēzijas fonda projekts "STEM un pilsoniskās līdzdalības norises plašākai izglītības pieredzei un karjeras izvēlei"

2 219

2 219

 

  8.4.4. uzturēšanas izmaksas (CKS)

238 260

238 260

 

  8.5. Pirmsskolas izglītības iestādes "Piejūra"

1 597 860

1 597 860

 

  8.5.1. pedagogu algas, grāmatas (mērķdotācija)

213 378

213 378

 

  8.5.2. pārējās izmaksas

1 205 664

1 205 664

 

  8.5.3. ES Kohēzijas fonda projekts "STEM un pilsoniskās līdzdalības norises plašākai izglītības pieredzei un karjeras izvēlei"

2 496

2 496

 

  8.5.4. uzturēšanas izmaksas (CKS)

176 322

176 322

 

  8.6. Privātās izglītības iestādes

3 367 469

3 367 469

 

  8.7. Carnikavas vidusskola

3 231 179

3 231 139

-40

  8.7.1. pedagogu algas, grāmatas (mērķdotācija)

1 830 248

1 830 248

 

  8.7.2. ēdināšana (mērķdotācija)

104 143

104 143

 

  8.7.3. pārējās izmaksas

867 411

867 411

 

  8.7.4. uzturēšanas izmaksas (CKS)

329 532

329 532

 

  8.7.5. projekts "Skolas soma"

17 776

17 736

-40

  8.7.6. ES Kohēzijas fonda projekts "STEM un pilsoniskās līdzdalības norises plašākai izglītības pieredzei un karjeras izvēlei"

15 473

15 473

 

  8.7.7. projekti Erasmus+; NordPlus

66 596

66 596

 

  8.8. Ādažu vidusskola

8 577 054

8 577 434

380

  8.8.1. pedagogu algas, grāmatas (mērķdotācija)

4 972 819

4 972 819

 

  8.8.2. pārējās izmaksas 1 028 492 1 028 792

300

  8.8.3. uzturēšanas izmaksas (CKS) 776 305 776 305

 

  8.8.4. projekts Erasmus+ 70 991 70 991

 

  8.8.5. projekts "Skolas soma" 42 102 42 182

80

  8.8.6. ES Kohēzijas fonda projekts "STEM un pilsoniskās līdzdalības norises plašākai izglītības pieredzei un karjeras izvēlei" 42 376 42 376

 

  8.8.7. Ādažu vidusskolas D korpusa siltināšana

59 199

59 199

 

  8.8.8. sākumskolas uzturēšanas izmaksas

702 301

702 301

 

  8.8.9. sākumskolas uzturēšanas izmaksas (CKS)

393 201

393 201

 

  8.8.10. sākumskolas ēdināšana (mērķdotācija)

250 743

250 743

 

  8.8.11. PII

238 525

238 525

 

  8.8.11.1. pedagogu algas (mērķdotācija)

49 111

49 111

 

  8.8.11.2. uzturēšana

170 322

170 322

 

  8.8.11.3. ES Kohēzijas fonda projekts "STEM un pilsoniskās līdzdalības norises plašākai izglītības pieredzei un karjeras izvēlei"

1 221

1 221

 

  8.8.11.4. uzturēšanas izmaksas (CKS)

17 871

17 871

 

  8.9. Ādažu novada mākslu skola

1 995 994

1 995 994

 

  8.9.1. pedagogu algas (mērķdotācija)

849 067

849 067

 

  8.9.2. pārējās izmaksas

1 146 927

1 146 927

 

  8.10. Sporta skola

915 221

915 221

 

  8.10.1. pedagogu algas (mērķdotācija)

339 485

339 485

 

  8.10.2. Pašvaldības finansējums

575 736

575 736

 

  8.11. Izglītības un jauniešu lietu pārvalde

753 249

806 783

53 534

  8.12. Līdzfinansējums skolēnu dalībai konkursos

2 000

2 000

 

  8.13. Jaunas pirmsskolas izglītības iestādes Podniekos būvniecība

8 910 183

8 910 183

 

  8.14. Teritorijas novērtēšana pirms būvprojekta izstrādes un būvprojekts jaunas pamatskolas izveidei Ādažu pilsētā

78 747

78 747

 

  8.15. Izglītības iestāžu nodrošinājums pilnveidotā vispārējās izglītības satura kvalitatīvai ieviešanai Ādažu novadā

622 519

622 519

 

   

KOPĀ IZDEVUMI:

82 419 351

82 526 605

107 254

F40020020 9. Kredītu pamatsummas atmaksa

3 907 497

3 907 497

 

   

PAVISAM KOPĀ IZDEVUMI:

86 326 848

86 434 102

107 254

F21010000 AB

-

Naudas līdzekļu atlikums uz gada beigām

150 304

103 595

-46 709

 

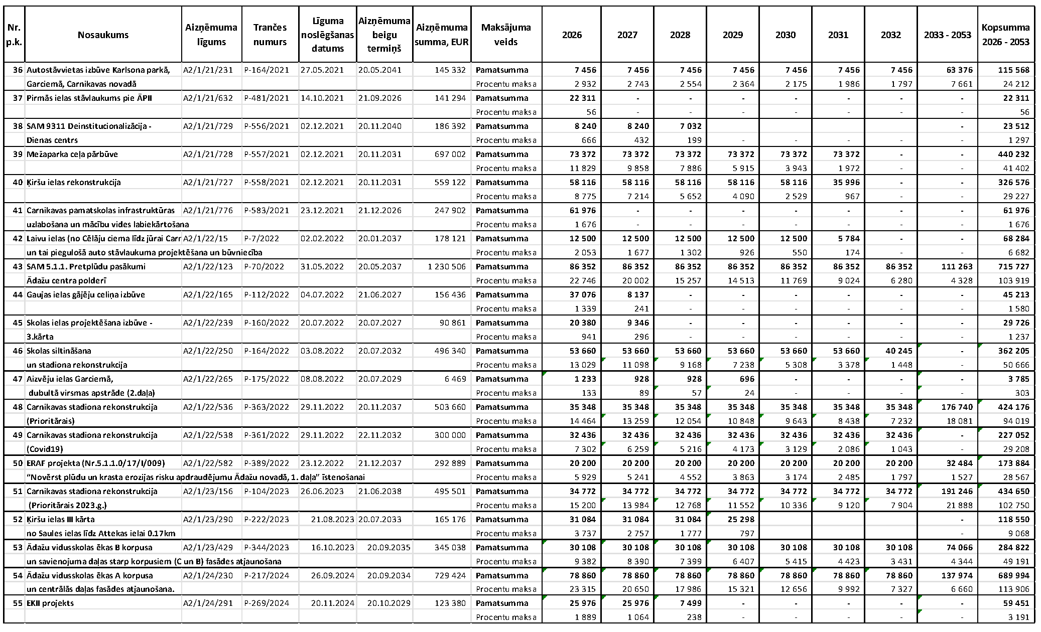
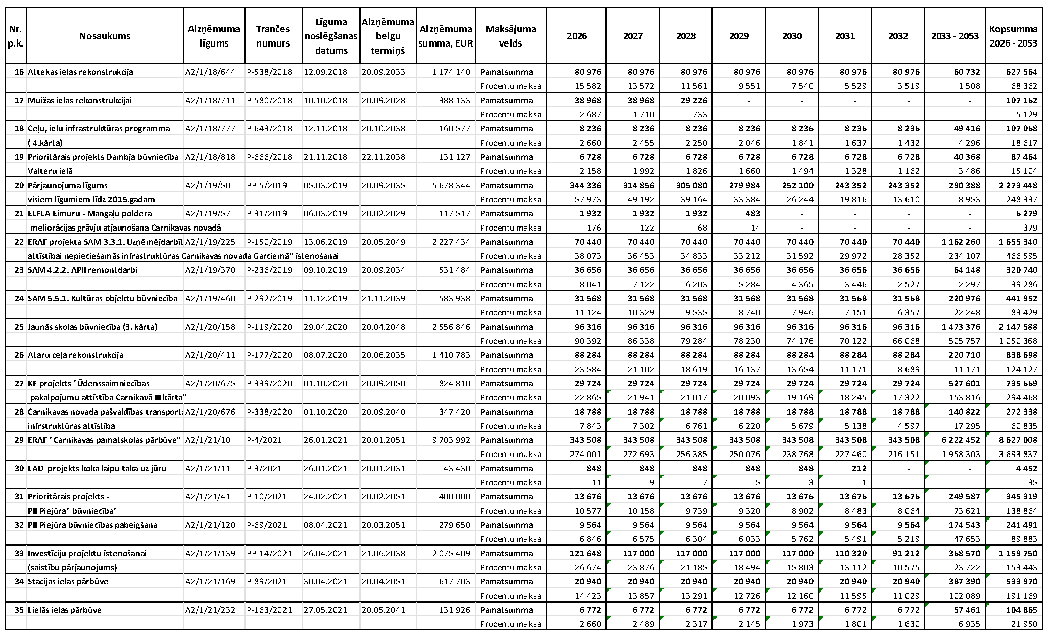
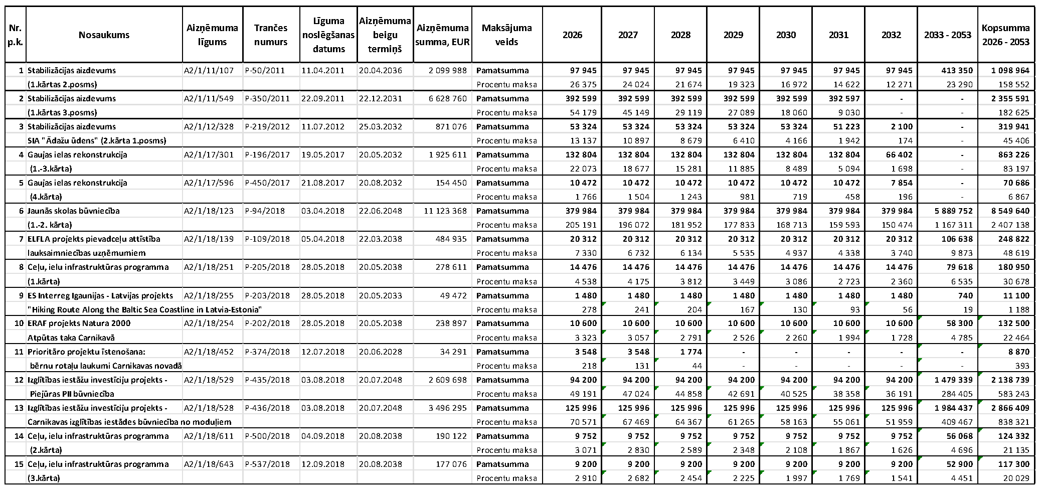
2. pielikums
Ādažu novada pašvaldības domes 2026. gada 26. marta saistošajiem noteikumiem
Nr. 7/2026 "Grozījumi Ādažu novada pašvaldības domes 2026. gada 29. janvāra
saistošajos noteikumos Nr. 1/2026 "Par Ādažu novada pašvaldības budžetu 2026. gadam""

Aizņēmumu un citu ilgtermiņa saistību pārskats

Ādažu novada pašvaldības domes
priekšsēdētāja vietnieks attīstības jautājumos G. Miglāns

 

Paskaidrojuma raksts

Ādažu novada pašvaldības domes budžeta grozījumi 2026. gadam apstiprināti 2026. gada 26. martā. Budžeta grozījumi sastāv no pamatbudžeta, kuru veido ieņēmumu un izdevumu sadaļas, kā arī aizņēmumu un citu ilgtermiņa saistību pārskata. Pašvaldība ir ņēmusi vērā visu funkciju vajadzības un sabalansējusi pieejamos finanšu līdzekļus tā, lai nodrošinātu uzlabojumus sabiedrībai svarīgās jomās saskaņā ar pašvaldības attīstības plānošanas dokumentos noteiktajiem mērķiem.

Saistošie noteikumi paredz šādus grozījumus budžetā:

• Precizēts summu sadalījums ieņēmumos un izdevumos starp Ādažu un Carnikavas vidusskolām projekta "Skolas soma" ietvaros. Ādažu vidusskolai papildus 80 euro un Carnikavas vidusskolai samazinājums 40 euro.

• Precizēta projekta "Pedagogu profesionālā atbalsta sistēmas izveide" naudas plūsma, palielinot ārfinansējuma apjomu un izdevumus par 45'534 euro.

• Saskaņā ar vienošanos ar Ropažu pašvaldību katru gadu tiek noteikts, kādā apjomā Ropažu pašvaldība veic līdzfinansējumu Baltezera kapu uzturēšanā. 2026. gadā līdzfinansējuma apjoms 13'930 euro. Tā kā 2025. gadā netika iztērēts plānotais apjoms, tad neiztērētā finansējuma daļa tiks atmaksāta Ropažu pašvaldībai 29'826 euro apmērā.

• Sagatavojot gada noslēgumu pārskatus, konstatēts, ka nesadalītais konta atlikums ir par 1'041 euro lielāks, kas uz gada sākumu kopumā veido 6'704'031 euro.

• Saskaņā ar Ādažu novada domes 26.02.2026. lēmumu Nr. 83, kur tiek pārcelta pozīcija kopienu speciālists no Attīstības daļas uz pārvaldi, arī izdevumu sadaļā veikta korekcija 28'474 euro pārcelšana, kopienu speciālista izmaksas, no sadaļas "Attīstības un projektu nodaļa" uz sadaļu "Vispārējie valdības dienesti, pārvalde".

• Tā kā pašvaldībā divus mēnešus priekšsēdētāja vakance ir brīva, tad ekonomija uz atalgojumu 10'296 euro apmērā tiek novirzīta uz nesadalīto konta atlikumu.

• Saskaņā ar Domes 26.02.2026. lēmumu Nr. 76, pārcelti EUR 10'000 no nesadalītā konta atlikuma Pirmā iela 42A metāla konstrukciju un pamatu detalizētai izpētei. Pēc iepirkuma procedūras noslēgšanās summa ir 10'890 euro, papildus nepieciešamie 890 euro pārcelti no sadaļas no "Attīstības un projektu nodaļa" uz sadaļu "LIFE NewBauhaus projekts".

• Zemes nodalīšanai Zvejnieku iela 23 un Tulpju iela 5, lai daļu nodotu SIA "Ādažu namsaimnieks", pārcelti 6'000 euro no nesadalītā konta atlikuma zemes ierīcības projekta izstrādei,

Kopumā Ādažu novada pašvaldības domes budžeta grozījumi paredz ieņēmumu palielinājumu par 59'504 euro, nosakot budžeta ieņēmumus 67'519'371 euro apmērā un izdevumu daļas palielinājumu par 107'254 euro, nosakot budžeta izdevumus 82'526'605 euro apmērā. Plānoto aizņēmumu apjoms 2026. gadā ir 10'307'001 euro apmērā, un aizņēmumu pamatsummas atmaksa 2026. gadā plānota 3'907'497 euro apmērā.

Ādažu novada pašvaldības domes
priekšsēdētāja vietnieks attīstības jautājumos G. Miglāns

 
Tiesību akta pase
Nosaukums: Grozījumi Ādažu novada pašvaldības domes 2026. gada 29. janvāra saistošajos noteikumos Nr. 1/2026 .. Statuss:
Spēkā esošs
spēkā esošs
Izdevējs: Ādažu novada dome Veids: saistošie noteikumi Numurs: 7/2026Pieņemts: 26.03.2026.Stājas spēkā: 02.04.2026.Zaudē spēku: 01.01.2027.Publicēts: Latvijas Vēstnesis, 64, 01.04.2026. OP numurs: 2026/64.13
Saistītie dokumenti
  • Grozītais
  • Izdoti saskaņā ar
367451
02.04.2026
424
0
  • X
  • Facebook
  • Draugiem.lv
 
0
Šajā vietnē oficiālais izdevējs
"Latvijas Vēstnesis" nodrošina tiesību aktu
sistematizācijas funkciju.

Sistematizēti tiesību akti ir informatīvi. Pretrunu gadījumā vadās pēc oficiālās publikācijas.
Par Likumi.lv
Aktualitātes
Atsauksmēm
Apmācības
Kontakti
Mobilā versija
Lietošanas noteikumi
Privātuma politika
Sīkdatnes
Piekļūstamība
Latvijas Vēstnesis "Ikvienam ir tiesības zināt savas tiesības."
Latvijas Republikas Satversmes 90. pants
© Oficiālais izdevējs "Latvijas Vēstnesis"