Ādažu novada pašvaldības domes saistošie
noteikumi Nr. 37/2025
Ādažos 2025. gada 23. oktobrī
Grozījumi Ādažu novada pašvaldības
domes 2025. gada 22. janvāra saistošajos noteikumos
Nr. 1/2025 "Par Ādažu novada pašvaldības budžetu
2025. gadam"
APSTIPRINĀTI
ar Ādažu novada pašvaldības domes
2025. gada 23. oktobra sēdes lēmumu
(prot. Nr. 25 § 38)
Izdoti saskaņā ar Pašvaldību likuma
10. panta pirmās daļas 1. punktu un 48. pantu,
likuma "Par pašvaldību budžetiem"
16. un 17. pantu
un likuma "Par budžetu un finanšu vadību"
6. pantu
Izdarīt Ādažu novada pašvaldības domes 2025. gada 22. janvāra
saistošajos noteikumos Nr. 1/2025 "Par Ādažu novada
pašvaldības budžetu 2025. gadam" šādus grozījumus:
1. Izteikt noteikumu 2. punkta 2.3., 2.3.1., 2.3.2., 2.3.3. un
2.3.4. apakšpunktus šādā redakcijā:
2.3. "pamatbudžets 2025. gadā (1. pielikums):
| 2.3.1.
ieņēmumi |
- EUR 62 835
203; |
| 2.3.2.
izdevumi |
- EUR 72 276
182; |
| 2.3.3. plānotie
aizņēmumi |
- EUR 6 668
106; |
| 2.3.4. atmaksājamā
summa Valsts kases kredītiem (2. pielikums) |
- EUR 3 702
737". |
Ādažu novada pašvaldības domes
priekšsēdētāja K. Miķelsone
1. pielikums
Ādažu novada pašvaldības domes 2025. gada 23. oktobra
saistošajiem noteikumiem
Nr. 37/2025 "Grozījumi Ādažu novada pašvaldības domes 2025.
gada 22. janvāra
saistošajos noteikumos Nr. 1/2025 "Par Ādažu novada
pašvaldības budžetu 2025. gadam""
Pamatbudžets 2025. gadam
IEŅĒMUMU
DAĻA
|
Klasifikācijas kods
|
Nr.p.k.
|
Sadaļa
|
28.08.2025. grozījumi
|
23.10.2025. grozījumi
|
Izmaiņas
|
| |
1.-5. |
Nodokļu
ieņēmumi |
41 763
189
|
41 793
189
|
30 000
|
| 1.1.0.0. |
1. |
Iedzīvotāju
ienākuma nodoklis |
38 486
849
|
38 486
849
|
|
| |
1.1. |
pārskata gada |
38 486 849
|
38 486 849
|
|
| |
2.-4. |
Nekustamā īpašuma
nodokļu ieņēmumi |
3 211
340
|
3 211
340
|
|
| 4.1.1.0. |
2. |
Nekustamā īpašuma
nodoklis par zemi |
2 082
625
|
2 082
625
|
|
| |
2.1. |
pārskata gada |
1 945 625
|
1 945 625
|
|
| |
2.2. |
iepriekšējo gadu parādi |
137 000
|
137 000
|
|
| 4.1.2.0. |
3. |
Nekustamā īpašuma
nodoklis par ēkām |
392 228
|
392 228
|
|
| |
3.1. |
pārskata gada |
362 228
|
362 228
|
|
| |
3.2. |
iepriekšējo gadu parādi |
30 000
|
30 000
|
|
| 4.1.3.0. |
4. |
Nekustamā īpašuma
nodoklis par mājokļiem un inženierbūvēm |
736 487
|
736 487
|
|
| |
4.1. |
pārskata gada |
665 899
|
665 899
|
|
| |
4.2. |
iepriekšējo gadu parādi |
70 588
|
70 588
|
|
| 5.5.3.0. |
5. |
Nodokļi un
maksājumi par tiesībām lietot atsevišķas preces |
65 000
|
95 000
|
30 000
|
| |
5.1. |
Azartspēļu nodoklis |
5 000
|
5 000
|
|
| |
5.2. |
Dabas resursu nodoklis |
60 000
|
90 000
|
30 000
|
| 9.0.0.0. |
6. |
Valsts (pašvaldību)
un kancelejas nodevas |
144 060
|
144 060
|
|
| |
6.1. |
valsts nodevas |
6 100
|
6 100
|
|
| |
6.1.1. |
t.sk.: - par apliecinājumiem un citu funkciju
pildīšanu bāriņtiesā |
1 100
|
1 100
|
|
| |
6.1.2. |
t.sk.: - par civilstāvokļa aktu reģistrēšanu,
grozīšanu un papildināšanu |
4 500
|
4 500
|
|
| |
6.1.3. |
t.sk.: - pārējās valsts nodevas, kuras
ieskaita pašvaldību budžetā |
500
|
500
|
|
| |
6.2. |
pašvaldību nodevas |
137 960
|
137 960
|
|
| |
6.2.1. |
t.sk.: - nodeva par domes izstrādāto oficiālo
dokumentu saņemšanu |
100
|
100
|
|
| |
6.2.2. |
t.sk.: - nodeva par izklaidējoša rakstura
pasākumu sarīkošanu publiskās vietās |
1 860
|
1 860
|
|
| |
6.2.3. |
t.sk.: - nodeva par tirdzniecību publiskās
vietās |
33 000
|
33 000
|
|
| |
6.2.4. |
t.sk.: - nodeva par reklāmas, afišu un
sludinājumu izvietošanu publiskās vietās |
13 000
|
13 000
|
|
| |
6.2.5. |
t.sk.: - nodeva par būvatļaujas
saņemšanu |
85 000
|
85 000
|
|
| |
6.2.6. |
t.sk.: - pārējās nodevas |
5 000
|
5 000
|
|
| 10.0.0.0. |
7. |
Naudas sodi un
sankcijas |
130 000
|
130 000
|
|
| |
7.1. |
Naudas sodi un sankcijas |
90 000
|
90 000
|
|
| |
7.2. |
Naudas sodi par pārkāpumiem ceļu
satiksmē |
40 000
|
40 000
|
|
| 12.0.0.0. |
8. |
Pārējie nenodokļu
ieņēmumi |
35 728
|
35 728
|
|
| |
8.1. |
citi nenodokļu ieņēmumi |
25 728
|
25 728
|
|
| |
8.2. |
līgumsodi un procentu maksājumi par saistību
neizpildi |
-
|
-
|
|
| |
8.3. |
ieņēmumi no zvejas tiesību nomas |
10 000
|
10 000
|
|
| 13.0.0.0. |
9. |
Ieņēmumi no
pašvaldības īpašumu pārdošana |
159 278
|
159 278
|
|
| 18.6.0.0. |
10. |
Valsts budžeta
transferti un projektu finansējums |
18 933
391
|
19 335
619
|
402 228
|
| |
10.1. |
Valsts budžeta transferti |
10 078 697
|
10 401 710
|
323 013
|
| |
10.1.1. |
dotācija mākslas skolas algām |
718 764
|
833 236
|
114 472
|
| |
10.1.2. |
dotācija sporta skolai |
313 180
|
313 180
|
|
| |
10.1.3. |
dotācija skolēnu ēdināšanai |
341 692
|
341 692
|
|
| |
10.1.4. |
dotācija mācību grāmatām |
117 542
|
120 296
|
2 754
|
| |
10.1.4.1. |
t.sk.: - dotācija mācību grāmatām |
117 542
|
120 296
|
2 754
|
| |
10.1.4.2. |
t.sk.: - dotācija digitālajiem mācību
līdzekļiem |
-
|
-
|
|
| |
10.1.5. |
dotācijas pedagogu algām (vsk., PII) |
7 137 676
|
7 340 502
|
202 826
|
| |
10.1.5.1. |
t.sk.: - piecgadīgo bērnu apmācība |
1 065 868
|
1 045 720
|
-20 148
|
| |
10.1.5.2. |
t.sk.: - skolotāju algām |
5 542 646
|
5 751 505
|
208 859
|
| |
10.1.5.3. |
t.sk.: - interešu izglītība |
529 162
|
543 277
|
14 115
|
| |
10.1.6. |
dotācija māksliniecisko kolektīvu vadītāju
atalgojumam |
26 360
|
26 360
|
|
| |
10.1.7. |
Projekts "Skolas soma" Ādaži |
37 535
|
37 756
|
221
|
| |
10.1.8. |
Projekts "Skolas soma"
Carnikava |
11 142
|
13 882
|
2 740
|
| |
10.1.9. |
dotācija asistenta pakalpojumu
nodrošināšanai |
580 000
|
580 000
|
|
| |
10.1.10. |
valsts dotācija ceļu uzturēšanai |
406 576
|
406 576
|
|
| |
10.1.11. |
dotācijas Ukrainas pilsoņu atbalstam |
70 000
|
70 000
|
|
| |
10.1.12. |
dotācijas nodarbinātības pasākumiem |
12 607
|
12 607
|
|
| |
10.1.13. |
EKII |
38 052
|
38 052
|
|
| |
10.1.14. |
pārējās dotācijas |
267 571
|
267 571
|
|
| 18.6.3.0. |
10.2. |
ES struktūrfondu līdzekļi un aktivitāšu
līdzfinansējumi |
7 902 425
|
7 981 640
|
79 215
|
| |
10.2.1. |
Projekts "Infrastruktūras uzlabošana
uzņēmējdarbības attīstībai Ādažos" |
638 646
|
638 646
|
|
| |
10.2.2. |
Publiskās ārtelpas izveide Gaujas ielā 31
Ādažos |
103 070
|
103 070
|
|
| |
10.2.3. |
ES Kohēzijas fonda projekts "STEM un
pilsoniskās līdzdalības norises plašākai izglītības pieredzei
un karjeras izvēlei" |
|
73 815
|
73 815
|
| |
10.2.4. |
LIFE NewBauhaus projekts |
267 455
|
267 455
|
|
| |
10.2.5. |
Jaunais plūdu projekts - 2.1.3.2.
"Nacionālas nozīmes plūdu un krasta erozijas
pasākumi" 1. daļa |
217 332
|
217 332
|
|
| |
10.2.6. |
Krastupes ielas projekts |
308 659
|
308 659
|
|
| |
10.2.7. |
EKII |
-
|
-
|
|
| |
10.2.8. |
Jaunas pirmsskolas izglītības iestādes
Podniekos būvniecība |
2 500 000
|
2 500 000
|
|
| |
10.2.9. |
Projekts "Digitālā darba ar jaunatni
sistēmas attīstība pašvaldībās" |
30 428
|
30 428
|
|
| |
10.2.10. |
"Mobilitātes punkta infrastruktūras
izveidošana Rīgas metropoles areālā -
"Carnikava"" |
830 550
|
830 550
|
|
| |
10.2.11. |
Maģistrālā veloceļa izbūve
Rīga-Carnikava |
2 661 252
|
2 661 252
|
|
| |
10.2.12. |
"Blusu" kroga pārbūves tehniskā
projekta izstrāde |
333 333
|
333 333
|
|
| |
10.2.13. |
LEADER projektu realizācija |
11 700
|
17 100
|
5 400
|
| |
10.3. |
IIN budžeta dotācija |
952 269
|
952 269
|
|
| 19.2.0.0. |
11. |
Pašvaldību budžeta
transferti |
350 000
|
350 000
|
|
| |
11.1. |
no citām pašvaldībām izglītības funkciju
nodrošināšanai |
350 000
|
350 000
|
|
| 21.0.0.0. |
12. |
Budžeta iestāžu
ieņēmumi |
811 955
|
887 329
|
75 374
|
| |
12.1. |
maksa par izglītības pakalpojumiem |
219 800
|
219 800
|
|
| |
12.1.1. |
ieņēmumi no vecāku maksām (PII) |
61 000
|
61 000
|
|
| |
12.1.2. |
ieņēmumi no vecāku maksām (ĀNMS, BJSS) |
158 800
|
158 800
|
|
| |
12.2. |
pārrobežu projektu ieņēmumi |
60 812
|
136 186
|
75 374
|
| |
12.2.1. |
ERASMUS + projekti |
60 812
|
136 186
|
75 374
|
| |
12.2.2. |
citi pārrobežu projektu ieņēmumi |
-
|
-
|
|
| |
12.3. |
ieņēmumi par nomu un īri |
332 370
|
332 370
|
|
| |
12.3.1. |
ieņēmumi par telpu nomu |
236 370
|
236 370
|
|
| |
12.3.2. |
ieņēmumi par zemes nomu |
96 000
|
96 000
|
|
| |
12.3.3. |
pārējie ieņēmumi par nomu |
-
|
-
|
|
| |
12.4. |
budžeta iestāžu maksas pakalpojumi |
98 350
|
98 350
|
|
| |
12.4.1. |
budžeta iestāžu maksas pakalpojumi |
98 350
|
98 350
|
|
| |
12.4.2. |
ieņēmumi no biļešu realizācijas |
-
|
-
|
|
| |
12.5. |
pārējie ieņēmumi/stāvvietu ieņēmumi |
100 623
|
100 623
|
|
| |
|
KOPĀ
IEŅĒMUMI:
|
62 327
601
|
62 835
203
|
507 602
|
| F21010000 AS |
13. |
Naudas līdzekļu
atlikums gada sākumā |
6 694
243
|
6 694
243
|
|
| |
13.1. |
Naudas atlikums iezīmētiem mērķiem |
1 040 957
|
1 040 957
|
|
| |
13.2. |
Naudas atlikums pašvaldības līdzekļi |
5 653 286
|
5 653 286
|
|
| F40020010 |
14. |
Valsts Kases
kredīti |
6 668
106
|
6 668
106
|
|
| |
14.1. |
Aizņēmums skolas ielas rekonstrukcijai |
85 000
|
85 000
|
|
| |
14.2. |
Jaunas pirmsskolas izglītības iestādes
Podniekos būvniecība |
3 100 179
|
3 100 179
|
|
| |
14.3. |
Āra lifta izbūve pie A korpusa |
85 000
|
85 000
|
|
| |
14.4. |
Ādažu vidusskolas D korpusa siltināšana |
255 000
|
255 000
|
|
| |
14.5. |
Ādažu vidusskolas ēkas A korpusa, savienojuma
daļas starp korpusiem (A un B), kā arī, vidusskolas centrālās
daļas, tai skaitā torņa fasādes atjaunošana. |
474 147
|
474 147
|
|
| |
14.6. |
Dzirnupes ielas tilta pārbūve I kārta |
510 000
|
510 000
|
|
| |
14.7. |
Projekts "Infrastruktūras uzlabošana
uzņēmējdarbības attīstībai Ādažos" |
295 238
|
295 238
|
|
| |
14.8. |
Krastupes ielas projekts |
70 622
|
70 622
|
|
| |
14.9. |
"Mobilitātes punkta infrastruktūras
izveidošana Rīgas metropoles areālā -
"Carnikava"" |
183 524
|
183 524
|
|
| |
14.10. |
Maģistrālā veloceļa izbūve
Rīga-Carnikava |
1 609 396
|
1 609 396
|
|
| |
KOPĀ
PIEEJAMAIS FINANSĒJUMS:
|
75 689
950
|
76 197
552
|
507 602
|
IZDEVUMU
DAĻA
|
Klasifikācijas kods
|
Nr.p.k.
|
Sadaļa
|
28.08.2025. grozījumi
|
23.10.2025. grozījumi
|
Izmaiņas
|
| 01.000 |
1. |
Vispārējie valdības
dienesti |
12 225
212
|
12 225
212
|
|
| |
1.1. |
pārvalde |
2 119 494
|
2 119 494
|
|
| |
1.2. |
deputāti |
377 185
|
377 185
|
|
| |
1.3. |
administratīvā komisija |
62 822
|
62 822
|
|
| |
1.4. |
iepirkumu komisija |
45 177
|
45 177
|
|
| |
1.5. |
vēlēšanu komisija |
88 097
|
88 097
|
|
| |
1.6. |
pārējās komisijas |
33 489
|
33 489
|
|
| |
1.7. |
aizņēmumu procentu maksājumi |
2 052 431
|
2 052 431
|
|
| |
1.8. |
Iemaksas PFIF |
6 917 724
|
6 917 724
|
|
| |
1.9. |
Informācijas tehnoloģiju nodaļa, vispārējas
nozīmes dienestu darbība un pakalpojumi - datortīkla
uzturēšana |
528 793
|
528 793
|
|
| 03.000 |
2. |
Sabiedriskā kārtība
un drošība |
1 122
076
|
1 122
076
|
|
| 04.000 |
3. |
Ekonomiskā
darbība |
646 058
|
646 058
|
|
| |
3.1. |
Sabiedriskās attiecības, laikraksts |
200 531
|
200 531
|
|
| |
3.2. |
Autoceļu fonds |
445 527
|
445 527
|
|
| 05.000 |
4. |
Vides
aizsardzība |
225 687
|
255 687
|
30 000
|
| |
4.1. |
Dabas resursu nodokļa izlietojums |
225 687
|
255 687
|
30 000
|
| 06.000 |
5. |
Pašvaldības
teritoriju un mājokļu apsaimniekošana |
18 058
075
|
18 072
875
|
14 800
|
| |
5.1. |
Izdevumi
neparedzētiem gadījumiem |
70 000
|
70 000
|
|
| |
5.2. |
Līdzdalības
budžets |
52 568
|
52 568
|
|
| |
5.3. |
Būvvalde |
333 393
|
333 393
|
|
| |
5.4. |
Teritorijas
plānošanas nodaļa |
334 779
|
334 779
|
|
| |
5.5. |
Attīstības un
projektu nodaļa |
8 499
555
|
8 499
555
|
|
| |
5.5.1. |
nodaļa |
560 409
|
562 673
|
2 264
|
| |
5.5.2. |
Projekts "Sabiedrība ar
dvēseli" |
40 000
|
40 000
|
|
| |
5.5.3. |
Iedzīvotāju iniciatīvas un konkursi. |
14 400
|
14 400
|
|
| |
5.5.4. |
TEP "Atjaunojamo energoresursu
izmantošana Ādažu novadā" (EUCF) |
49 346
|
38 413
|
-10 933
|
| |
5.5.5. |
"Mobilitātes punkta infrastruktūras
izveidošana Rīgas metropoles areālā -
"Carnikava"" |
1 045 546
|
1 045 546
|
|
| |
5.5.6. |
Maģistrālā veloceļa izbūve
Rīga-Carnikava |
4 425 220
|
4 425 220
|
|
| |
5.5.7. |
"Upesceļi II/Ūdenstūrisma pieejamības
veicināšana (RiverwaysII/Facilitating access to watertourism
activities)". |
34 550
|
34 550
|
|
| |
5.5.8. |
Projekts "Infrastruktūras uzlabošana
uzņēmējdarbības attīstībai Ādažos" |
950 824
|
950 824
|
|
| |
5.5.9. |
Publiskās ārtelpas izveide Gaujas ielā 31
Ādažos |
138 477
|
138 477
|
|
| |
5.5.10. |
Projekts jauniešu asociāciju federācija
Eiropas mobilitātei. CERV programmas projekts "YOUTth
and democracy: empowering Europe's next
generation" |
3 200
|
936
|
-2 264
|
| |
5.5.11. |
LIFE NewBauhaus projekts |
434 122
|
445 055
|
10 933
|
| |
5.5.12. |
"Blusu" kroga pārbūves tehniskā
projekta izstrāde. |
416 333
|
416 333
|
|
| |
5.5.13. |
Krastupes ielas projekts |
387 128
|
387 128
|
|
| |
5.6. |
Objektu un
teritorijas apsaimniekošana un uzturēšana |
8 767
780
|
8 782
580
|
14 800
|
| |
5.6.1. |
Nekustamā īpašuma nodaļa |
234 016
|
235 916
|
1 900
|
| |
5.6.2. |
SAM 5.1.1. Pretplūdu pasākumi Ādažu centra
polderī, Ādažu novadā |
-
|
-
|
|
| |
5.6.3. |
Jaunais plūdu projekts - 2.1.3.2.
"Nacionālas nozīmes plūdu un krasta erozijas
pasākumi" 1. daļa |
255 685
|
255 685
|
|
| |
5.6.4. |
P/A "Carnikavas komunālserviss"
teritorijas un īpašumu apsaimniekošana |
5 856 957
|
5 859 560
|
2 603
|
| |
5.6.5. |
Investīcijas energosaimniecības
uzlabošanā |
237 443
|
237 443
|
|
| |
5.6.6. |
Investīcijas vides pārvaldībā un
uzlabošanā |
339 942
|
324 942
|
-15 000
|
| |
5.6.7. |
Investīcijas ceļu, ielu infrastruktūras
attīstībā un uzlabošanā |
1 843 737
|
1 869 034
|
25 297
|
| 08.000 |
6. |
Atpūta, kultūra un
reliģija |
2 591
021
|
2 595
021
|
4 000
|
| |
6.1. |
Kultūra |
1 559 120
|
1 559 120
|
|
| |
6.1.1. |
Ādažu kultūras centrs |
813 277
|
813 277
|
|
| |
6.1.2. |
Tautas nams "Ozolaine" |
526 028
|
526 028
|
|
| |
6.1.3. |
Muzejs un Carnikavas novadpētniecības
centrs |
189 516
|
189 516
|
|
| |
6.1.4. |
Tūrisms |
30 299
|
30 299
|
|
| |
6.2. |
Ādažu bibliotēka |
158 076
|
158 076
|
|
| |
6.3. |
Carnikavas bibliotēka |
73 071
|
73 071
|
|
| |
6.4. |
Sporta daļa |
777 526
|
781 526
|
4 000
|
| |
6.5. |
Evaņģēliski luteriskās draudzes |
4 000
|
4 000
|
|
| |
6.6. |
Multihalle |
19 228
|
19 228
|
|
| 10.000 |
7. |
Sociālā
aizsardzība |
3 479
428
|
3 479
428
|
|
| |
7.1. |
Sociālais dienests |
2 701 443
|
2 701 443
|
|
| |
7.1.1. |
Sociālās funkcijas nodrošināšana |
646 488
|
646 488
|
|
| |
7.1.2. |
Pabalsti |
1 473 233
|
1 473 233
|
|
| |
7.1.3. |
Mērķdotācija |
-
|
-
|
|
| |
7.1.4. |
Asistentu pakalpojumi |
580 000
|
580 000
|
|
| |
7.1.5. |
Uzturēšanas izdevumi (CKS) |
1 722
|
1 722
|
|
| |
7.2. |
Stipendiāti / bezdarbnieki |
14 883
|
14 883
|
|
| |
7.3. |
SAM 9311 Deinstitucionalizācija - Dienas
centrs |
444 938
|
444 938
|
|
| |
7.3.1. |
DI centra uzturēšanas izdevumi |
432 274
|
432 274
|
|
| |
7.3.2. |
DI centra uzturēšanas izdevumi (CKS) |
12 664
|
12 664
|
|
| |
7.4. |
Bāriņtiesa |
158 418
|
158 418
|
|
| |
7.5. |
Dotācijas Ukrainas pilsoņu atbalstam |
70 604
|
70 604
|
|
| |
7.6. |
ANM pasākuma "Atbalsta pasākumi
cilvēkiem ar invaliditāti mājokļu vides pieejamības
nodrošināšanai" projekts |
44 312
|
44 312
|
|
| |
7.7. |
SAM 9.2.4.2. projekts "Pasākumi vietējās
sabiedrības veselības veicināšanai" |
44 830
|
44 830
|
|
| 09.000 |
8. |
Izglītība |
33 479
096
|
33 879
825
|
400 729
|
| |
8.1. |
Norēķini ar
pašvaldību budžetiem par izglītības iestāžu
pakalpojumiem |
851 975
|
851 975
|
|
| |
8.2. |
Ādažu Pirmsskolas
izglītības iestāde |
2 535
967
|
2 554
567
|
18 600
|
| |
8.2.1. |
pedagogu algas, grāmatas (mērķdotācija) |
368 052
|
366 421
|
-1 631
|
| |
8.2.2. |
pārējās izmaksas |
1 670 882
|
1 669 482
|
-1 400
|
| |
8.2.3. |
ES Kohēzijas fonda projekts "STEM un
pilsoniskās līdzdalības norises plašākai izglītības pieredzei
un karjeras izvēlei" |
|
4 307
|
4 307
|
| |
8.2.4. |
uzturēšanas izmaksas (CKS) |
497 033
|
514 357
|
17 324
|
| |
8.3. |
Kadagas PII |
1 501
706
|
1 507
350
|
5 644
|
| |
8.3.1. |
pedagogu algas, grāmatas (mērķdotācija) |
147 343
|
152 344
|
5 001
|
| |
8.3.2. |
pārējās izmaksas |
1 108 510
|
1 107 510
|
-1 000
|
| |
8.3.3. |
ES Kohēzijas fonda projekts "STEM un
pilsoniskās līdzdalības norises plašākai izglītības pieredzei
un karjeras izvēlei" |
|
1 643
|
1 643
|
| |
8.3.4. |
uzturēšanas izmaksas (CKS) |
245 853
|
245 853
|
|
| |
8.4. |
Pirmsskolas
izglītības iestāde "Riekstiņš" |
1 854
025
|
1 854
007
|
-18
|
| |
8.4.1. |
pedagogu algas, grāmatas (mērķdotācija) |
203 756
|
202 607
|
-1 149
|
| |
8.4.2. |
pārējās izmaksas |
1 406 595
|
1 405 395
|
-1 200
|
| |
8.4.3. |
ES Kohēzijas fonda projekts "STEM un
pilsoniskās līdzdalības norises plašākai izglītības pieredzei
un karjeras izvēlei" |
|
2 331
|
2 331
|
| |
8.4.4. |
uzturēšanas izmaksas (CKS) |
243 674
|
243 674
|
|
| |
8.5. |
Pirmsskolas
izglītības iestādes "Piejūra" |
1 575
794
|
1 571
620
|
-4 174
|
| |
8.5.1. |
pedagogu algas, grāmatas (mērķdotācija) |
268 279
|
262 019
|
-6 260
|
| |
8.5.2. |
pārējās izmaksas |
1 141 525
|
1 140 525
|
-1 000
|
| |
8.5.3. |
ES Kohēzijas fonda projekts "STEM un
pilsoniskās līdzdalības norises plašākai izglītības pieredzei
un karjeras izvēlei" |
|
3 086
|
3 086
|
| |
8.5.4. |
uzturēšanas izmaksas (CKS) |
165 990
|
165 990
|
|
| |
8.6. |
Privātās izglītības
iestādes |
3 797
888
|
3 828
674
|
30 786
|
| |
8.7. |
Carnikavas
vidusskola |
2 761
873
|
2 930
022
|
168 149
|
| |
8.7.1. |
pedagogu algas, grāmatas (mērķdotācija) |
1 519 448
|
1 634 540
|
115 092
|
| |
8.7.2. |
ēdināšana (mērķdotācija) |
94 076
|
94 076
|
|
| |
8.7.3. |
pārējās izmaksas |
717 634
|
716 234
|
-1 400
|
| |
8.7.4. |
uzturēšanas izmaksas (CKS) |
342 547
|
342 547
|
|
| |
8.7.5. |
projekts "Skolas soma" |
11 200
|
13 940
|
2 740
|
| |
8.7.6. |
ES Kohēzijas fonda projekts "STEM un
pilsoniskās līdzdalības norises plašākai izglītības pieredzei
un karjeras izvēlei" |
|
15 473
|
15 473
|
| |
8.7.7. |
projekti Erasmus+; NordPlus |
76 968
|
113 212
|
36 244
|
| |
8.8. |
Ādažu
vidusskola |
9 137
574
|
9 274
809
|
137 235
|
| |
8.8.1. |
pedagogu algas, grāmatas (mērķdotācija) |
4 662 311
|
4 741 726
|
79 415
|
| |
8.8.2. |
pārējās izmaksas |
904 440
|
895 840
|
-8 600
|
| |
8.8.3. |
uzturēšanas izmaksas (CKS) |
780 672
|
780 672
|
|
| |
8.8.4. |
projekts Erasmus+ |
51 949
|
91 079
|
39 130
|
| |
8.8.5. |
projekts "Skolas soma" |
41 000
|
41 221
|
221
|
| |
8.8.6. |
ES Kohēzijas fonda projekts "STEM un
pilsoniskās līdzdalības norises plašākai izglītības pieredzei
un karjeras izvēlei" |
|
45 754
|
45 754
|
| |
8.8.7. |
Ādažu vidusskolas D korpusa siltināšana |
300 000
|
300 000
|
|
| |
8.8.8. |
Ādažu vidusskolas ēkas A korpusa, savienojuma
daļas starp korpusiem (A un B), kā arī, vidusskolas centrālās
daļas, tai skaitā torņa fasādes atjaunošana. |
557 629
|
557 629
|
|
| |
8.8.9. |
sākumskolas uzturēšanas izmaksas |
797 453
|
797 453
|
|
| |
8.8.10. |
sākumskolas uzturēšanas izmaksas (CKS) |
428 433
|
424 433
|
-4 000
|
| |
8.8.11. |
sākumskolas ēdināšana (mērķdotācija) |
263 797
|
263 797
|
|
| |
8.8.12. |
PII |
349 890
|
335 205
|
-14 685
|
| |
8.8.12.1. |
- pedagogu algas (mērķdotācija) |
102 045
|
86 339
|
-15 706
|
| |
8.8.12.2. |
- uzturēšana |
232 189
|
231 989
|
-200
|
| |
8.8.12.3. |
ES Kohēzijas fonda projekts "STEM un
pilsoniskās līdzdalības norises plašākai izglītības pieredzei
un karjeras izvēlei" |
|
1 221
|
1 221
|
| |
8.8.12.4. |
- uzturēšanas izmaksas (CKS) |
15 656
|
15 656
|
|
| |
8.9. |
Ādažu novada mākslu
skola |
1 819
529
|
1 864
001
|
44 472
|
| |
8.9.1. |
pedagogu algas (mērķdotācija) |
735 359
|
849 831
|
114 472
|
| |
8.9.2. |
pārējās izmaksas |
1 084 170
|
1 014 170
|
-70 000
|
| |
8.10. |
Sporta skola |
845 947
|
845 947
|
|
| |
8.10.1. |
pedagogu algas (mērķdotācija) |
313 283
|
313 283
|
|
| |
8.10.2. |
Pašvaldības finansējums |
532 664
|
532 664
|
|
| |
8.11. |
Izglītības un
jauniešu lietu pārvalde |
687 795
|
687 830
|
35
|
| |
8.12. |
Līdzfinansējums
skolēnu dalībai konkursos |
3 000
|
3 000
|
|
| |
8.13. |
Jaunas pirmsskolas
izglītības iestādes Podniekos būvniecība |
5 600
179
|
5 600
179
|
|
| |
8.14. |
Teritorijas
novērtēšana pirms būvprojekta izstrādes un būvprojekts jaunas
pamatskolas izveidei Ādažu pilsētā |
220 567
|
220 567
|
|
| |
8.15. |
Latvijas Skolu
jaunatnes dziesmu un deju svētki |
285 277
|
285 277
|
|
| |
|
KOPĀ
IZDEVUMI:
|
71 826
653
|
72 276
182
|
449 529
|
| F40020020 |
9. |
Kredītu pamatsummas
atmaksa |
3 702
737
|
3 702
737
|
|
| |
|
PAVISAM
KOPĀ IZDEVUMI:
|
75 529
390
|
75 978
919
|
449 529
|
| F21010000 AB |
- |
Naudas līdzekļu
atlikums uz gada beigām |
160 560
|
218 633
|
58 073
|
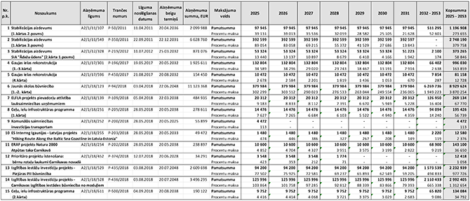
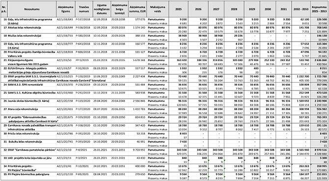
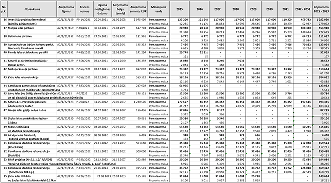
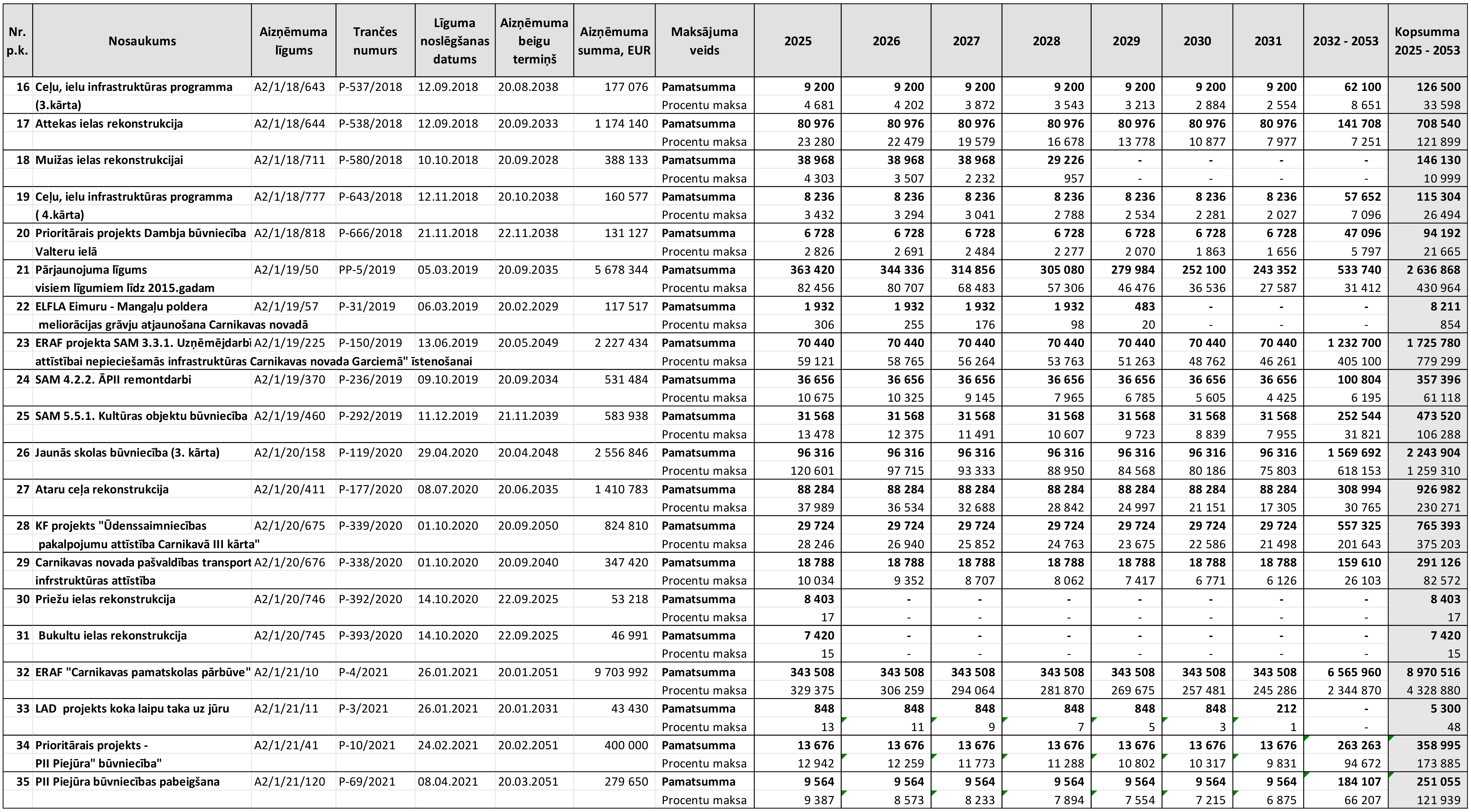
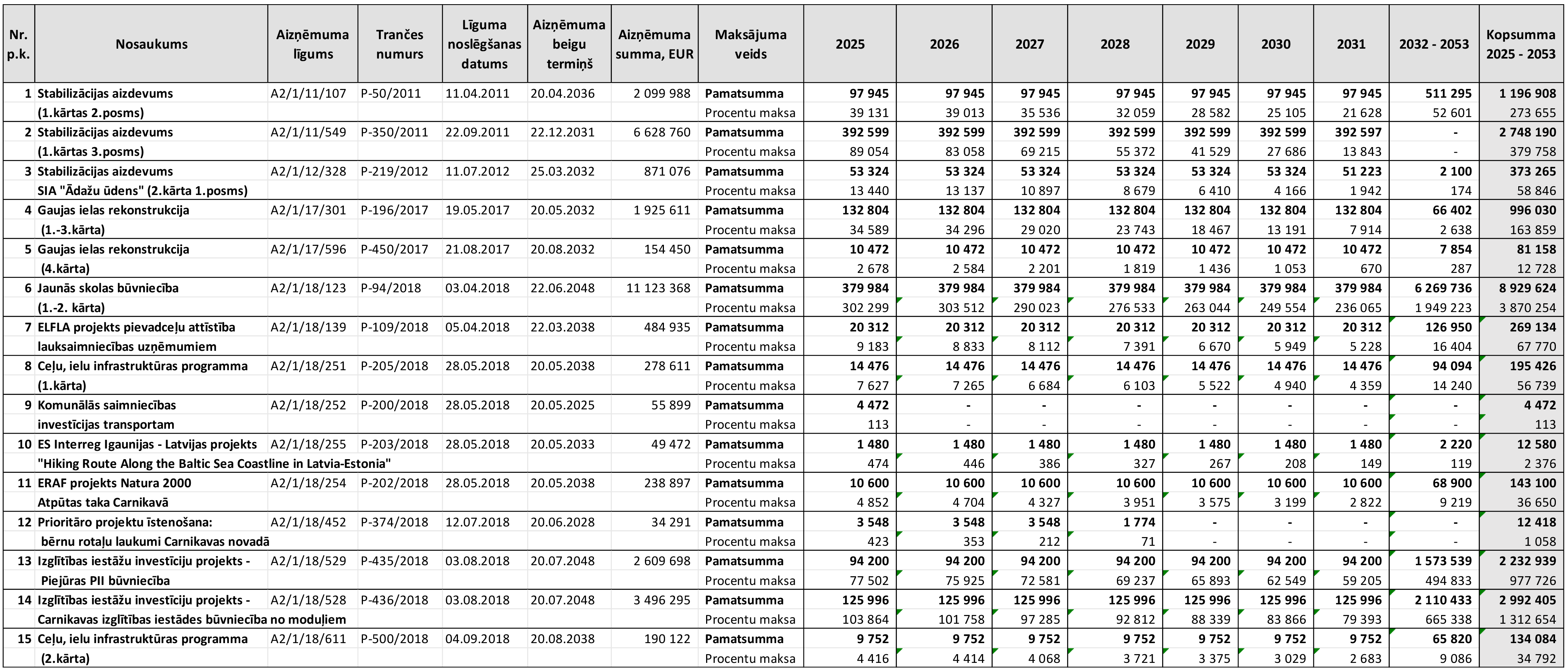
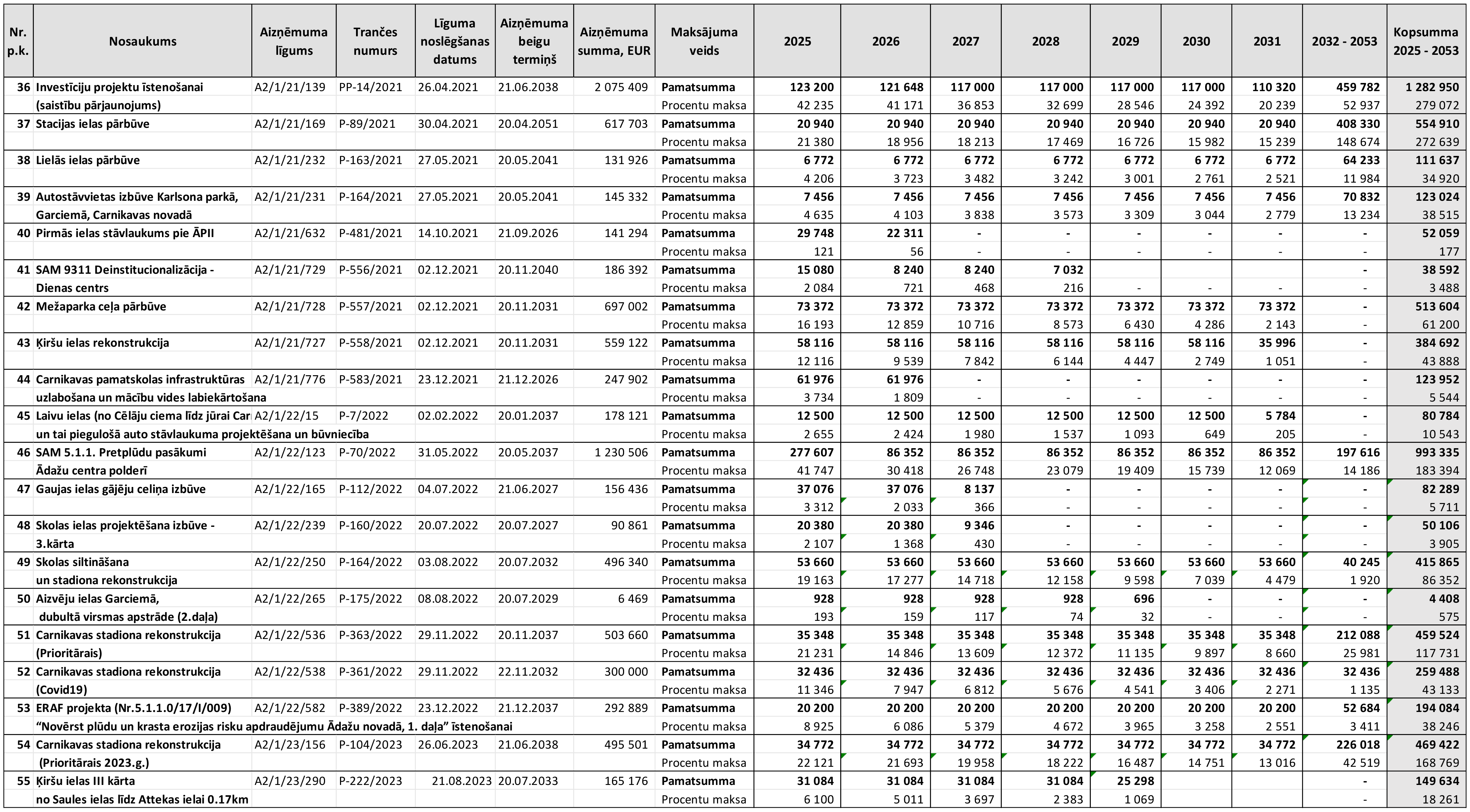
2. pielikums
Ādažu novada pašvaldības domes 2025. gada 23. oktobra
saistošajiem noteikumiem
Nr. 37/2025 "Grozījumi Ādažu novada pašvaldības domes 2025.
gada 22. janvāra
saistošajos noteikumos Nr. 1/2025 "Par Ādažu novada
pašvaldības budžetu 2025. gadam""
Aizņēmumu un citu ilgtermiņa
saistību pārskats





Ādažu novada pašvaldības domes
priekšsēdētāja K. Miķelsone
Paskaidrojuma raksts
Ādažu novada pašvaldības domes budžeta grozījumi 2025. gadam
apstiprināti 2025. gada 23. oktobrī. Budžeta grozījumi sastāv no
pamatbudžeta, kuru veido ieņēmumu un izdevumu sadaļas, kā arī
aizņēmumu un citu ilgtermiņa saistību pārskata. Pašvaldība ir
ņēmusi vērā visu funkciju vajadzības un sabalansējusi pieejamos
finanšu līdzekļus tā, lai nodrošinātu uzlabojumus sabiedrībai
svarīgās jomās saskaņā ar pašvaldības attīstības plānošanas
dokumentos noteiktajiem mērķiem.
Saistošie noteikumi paredz šādus grozījumus budžetā:
• Ieņēmumu sadaļā palielinājums par 30'000 euro,
balstoties uz faktisko izpildi, dabas resursu nodokļu ieņēmumu
sadaļā, kas arī izdevumos palielina dabas resursu nodokļa
izlietojuma sadaļu, jo šie līdzekļi ir novirzāmi konkrētiem
mērķiem. Ir plānoti divi projekti (Atkritumu dalītās vākšanas
laukums un Laveru sūkņu stacijas pārbūve).
• Sadaļā "valsts budžeta transferti" palielinājumu
veido precizētie mērķdotāciju apjomi pedagogu atalgojumam,
dotācija mācību līdzekļiem un projekta "Skolas soma"
finansējumam, kas precizēti par 2025. gada septembra līdz
decembra mēnešiem:
○ dotācija mākslas skolu pedagogu atalgojumam palielināta par
114'472 euro, kas izdevumu sadaļā atspoguļoti sadaļā
"Ādažu novada Mākslu skola" - pedagogu algas
(mērķdotācija). Līdz ar mērķdotācijas summas maiņu, precizēta
atalgojuma summa no pašvaldības līdzekļiem, samazinot izdevumus
par 70'000 euro;
○ 2'754 euro dotācija mācību literatūras iegādei
mazākumtautību valodas interešu izglītības apguvei. Izdevumos šis
finansējums ir pie attiecīgās izglītības iestādes, kas to
realizē;
○ 202'826 euro dotācija vispārējo un pirmsskolas
izglītības iestāžu pedagogu atalgojumam. Izdevumos šis
finansējums ir pie attiecīgās izglītības iestādes, precizējot
finansējumu no mērķdotācijas;
○ 221 euro palielinājums ieņēmumu sadaļā projekta
"Skolas soma" realizācijai Ādažos, kas izdevumos ir
Ādažu vidusskolas budžeta sadaļā un 2'740 euro gan
ieņēmumu, gan izdevumu palielinājums projekta realizācijai
Carnikavas vidusskolā.
• Ir uzsākts ES Kohēzijas fonda projekts "STEM un
pilsoniskās līdzdalības norises plašākai izglītības pieredzei un
karjeras izvēlei". Kopējais ārfinansējums ir 73'815
euro, kas izdevumu sadaļā atspoguļojas pie pašvaldības
izglītības iestādēm, kas šo projektu realizē:
○ pirmsskolas izglītības iestādē "Strautiņš" 4'307
euro;
○ pirmsskolas izglītības iestādē "Mežavēji" 1'643
euro;
○ pirmsskolas izglītības iestādē "Riekstiņš" 2'331
euro;
○ pirmsskolas izglītības iestādē "Piejūra" 3'086
euro;
○ Ādažu vidusskolas pirmsskolas izglītības iestādē 1'221
euro;
○ Carnikavas vidusskolā 15'473 euro;
○ Ādažu vidusskolā 45'754 euro.
• Saskaņā ar vidusskolu realizētajiem ārvalstu projektiem
(Erasmus+ un Nordplus), precizētas projektu naudas plūsmas -
ieņēmumu daļā palielinot plānoto finansējumu par 75'374
euro un izdevumu daļā šī summa attiecināma 36'244
euro uz Carnikavas vidusskolu un 39'130 euro uz
Ādažu vidusskolu.
• 2'264 euro pārcelts no CERV programmas projektam
"YOUTth and democracy: empowering Europe's next
generation" paredzētā pašvaldības līdzfinansējuma uz
attīstības nodaļas budžetu multifunkcionālās iekārtas iegādei.
Līdzekļi pieejami, jo projekta izdevumus sedza projekta vadošais
partneris.
• Saskaņā ar pašvaldības domes 25.09.2025. protokollēmumu,
nolemts nepieciešamos līdzekļus 10'933 euro apmērā
novirzīt projekta "LIFEBauhausingEurope" īstenošanai no
budžeta sadaļas "TEP Atjaunojamo energoresursu izmantošana
Ādažu novadā (EUCF)".
• Saskaņā ar pašvaldības domes 23.10.2025. lēmumiem izdevumu
sadaļā novirzīti 12'100 euro ēku demontāžai Pīlādžu
ielā un 3'000 euro koku uzmērīšanai, cirsmu
inventarizācijai un sagatavošanai atsavināšanai no
"Nekustamā īpašuma" nodaļas uz sadaļu "P/A
"Carnikavas komunālserviss" teritorijas un īpašumu
apsaimniekošana", jo to realizēs P/A "Carnikavas
komunālserviss".
• Izdevumu sadaļā koriģēta plānotā summa saņemtā PVN atmaksai
valstij 17'000 euro apmērā no sadaļas "P/A
"Carnikavas komunālserviss" teritorijas un īpašumu
apsaimniekošana" uz "Nekustamā īpašuma" nodaļu, jo
šos ieņēmumus uzskaita un kontrolē Nekustamo īpašumu nodaļa.
• Saskaņā ar pašvaldības domes finanšu komitejas augusta
protokollēmumu pārcelti 15 000 euro no sadaļas
"Investīcijas vides pārvaldībā un uzlabošanā"
(Baltezera kapu celiņu ierīkošana) uz sadaļu "P/A
"Carnikavas komunālserviss" teritorijas un īpašumu
apsaimniekošana" (Transportlīdzekļa MB UNIMOG remontam).
• Saskaņā ar pašvaldības domes finanšu komitejas oktobra
protokollēmumu pārcelti 25'297 euro no Jūras ielas 4
demontāžai un stāvlaukuma izbūvei paredzētajiem līdzekļiem Ķiršu
ielas lietus kanalizācijas izbūvei.
• Izdevumi par P/A "Carnikavas komunālserviss"
darbinieku apdrošināšanu, kas sākotnēji plānoti izglītības
iestādēs pārcelti uz P/A "Carnikavas komunālserviss"
sadaļu (8'600 euro no Ādažu vidusskolas, 200
euro no Ādažu vidusskolas pirmsskolas izglītības iestādes,
1'400 euro no Carnikavas vidusskolas, 1'000
euro no pirmsskolas izglītības iestādes
"Mežavēji", 1'000 euro no pirmsskolas
izglītības iestādes "Piejūra", 1'200 euro no
pirmsskolas izglītības iestādes "Riekstiņš", 1'400
euro no pirmsskolas izglītības iestādes
"Strautiņš").
• Saskaņā ar pašvaldības domes finanšu komitejas septembra
protokollēmumu, nolemts nepieciešamos līdzekļus pirmsskolas
izglītības iestādes "Strautiņš" jumta daļas remontam
17'324 euro apmērā novirzīt no nesadalītā konta
atlikuma.
• 4'000 euro novirzīti no Ādažu sākumskolas
uzturēšanas izmaksām (ietaupījums no parketa slīpēšanas) uz
sporta centru ūdens un kanalizācijas patēriņa apmaksai.
Kopumā Ādažu novada pašvaldības domes budžeta grozījumi paredz
ieņēmumu palielinājumu par 507'602 euro, nosakot budžeta
ieņēmumus 62'835'203 euro apmērā un izdevumu daļas
palielinājumu par 449'529 euro, nosakot budžeta izdevumus
72'276'182 euro apmērā. Plānoto aizņēmumu apjoms 2025.
gadā ir 6'668'106 euro apmērā, un aizņēmumu pamatsummas
atmaksa 2025. gadā plānota 3'702'737 euro apmērā.
Ādažu novada pašvaldības domes
priekšsēdētāja K. Miķelsone