Teksta versija
LATVIJAS REPUBLIKAS TIESĪBU AKTI
uz sākumu
Izvērstā meklēšana
Autorizēties savā kontā

Kādēļ autorizēties vai reģistrēties?
 

Saeima ir pieņēmusi un Valsts
prezidents izsludina šādu likumu:

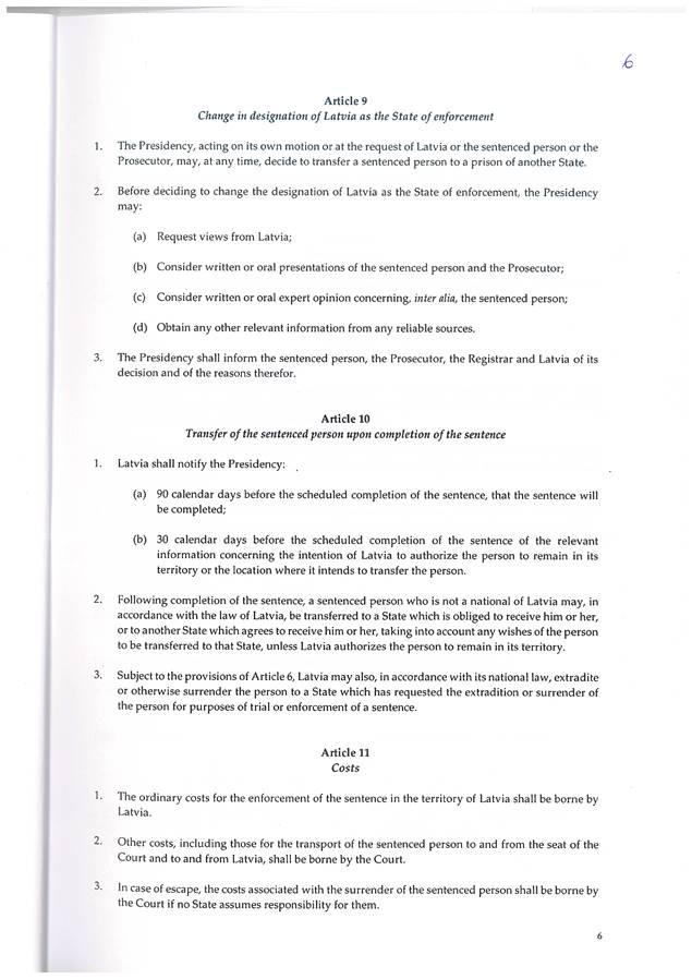
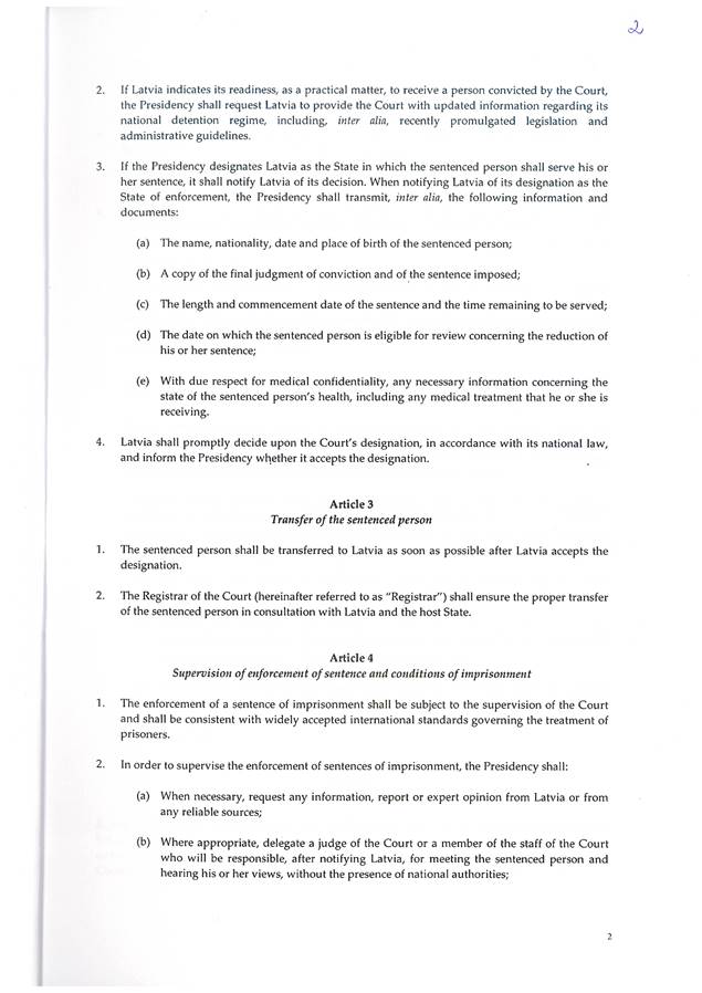
Par Latvijas Republikas un Starptautiskās krimināltiesas nolīgumu par Starptautiskās krimināltiesas spriedumu izpildi

1. pants. 2025. gada 28. martā Hāgā parakstītais Latvijas Republikas un Starptautiskās krimināltiesas nolīgums par Starptautiskās krimināltiesas spriedumu izpildi (turpmāk - Nolīgums) ar šo likumu tiek pieņemts un apstiprināts.

2. pants. Nolīgumā paredzēto saistību izpildi koordinē Tieslietu ministrija.

3. pants. Nolīgums stājas spēkā tā 13. pantā noteiktajā laikā, un Ārlietu ministrija par to paziņo oficiālajā izdevumā "Latvijas Vēstnesis". Līdz ar likumu izsludināms Nolīgums angļu valodā un publicējams tā tulkojums latviešu valodā.

Likums Saeimā pieņemts 2025. gada 9. oktobrī.

Valsts prezidents E. Rinkēvičs

Rīgā 2025. gada 23. oktobrī

 

 
Tiesību akta pase
Nosaukums: Par Latvijas Republikas un Starptautiskās krimināltiesas nolīgumu par Starptautiskās krimināltiesas .. Statuss:
Spēkā esošs
spēkā esošs
Izdevējs: Saeima Veids: likums Pieņemts: 09.10.2025.Stājas spēkā: 06.11.2025.Tēma: Krimināltiesības; Starptautiskā sadarbībaPublicēts: Latvijas Vēstnesis, 205, 23.10.2025. OP numurs: 2025/205.3
Saistītie dokumenti
  • Anotācija / tiesību akta projekts
  • Citi saistītie dokumenti
363891
06.11.2025
84
0
  • X
  • Facebook
  • Draugiem.lv
 
0
Šajā vietnē oficiālais izdevējs
"Latvijas Vēstnesis" nodrošina tiesību aktu
sistematizācijas funkciju.

Sistematizēti tiesību akti ir informatīvi. Pretrunu gadījumā vadās pēc oficiālās publikācijas.
Par Likumi.lv
Aktualitātes
Noderīgas saites
Atsauksmēm
Kontakti
Mobilā versija
Lietošanas noteikumi
Privātuma politika
Sīkdatnes
Piekļūstamība
Latvijas Vēstnesis "Ikvienam ir tiesības zināt savas tiesības."
Latvijas Republikas Satversmes 90. pants
© Oficiālais izdevējs "Latvijas Vēstnesis"