Teksta versija
LATVIJAS REPUBLIKAS TIESĪBU AKTI
uz sākumu
Izvērstā meklēšana
Autorizēties savā kontā

Kādēļ autorizēties vai reģistrēties?
 
Attēlotā redakcija
Tiesību akts ir zaudējis spēku.

Skatīt Ādažu novada domes 2026. gada 29. janvāra saistošos noteikumus "Par Ādažu novada pašvaldības budžetu 2026. gadam".
Ādažu novada pašvaldības domes saistošie noteikumi Nr. 1/2025

Ādažos 2025. gada 22. janvārī
Par Ādažu novada pašvaldības budžetu 2025. gadam
APSTIPRINĀTI
Ādažu novada pašvaldības domes
2025. gada 22. janvāra sēdē
(prot. Nr. 1 § 15)

Izdoti saskaņā ar Pašvaldību likuma
10. panta pirmās daļas 1. punktu un 48. pantu,
likuma "Par pašvaldību budžetiem"
16. un 17. pantu
un likuma "Par budžetu un finanšu vadību"
6. pantu

1. Saistošie noteikumi nosaka Ādažu novada pašvaldības pamatbudžetu 2025. gadam saskaņā ar 1.–5. pielikumu, nosakot 2025. gada pamatbudžeta, ziedojumu un dāvinājumu ieņēmumu, izdevumu un aizņēmumu apmēru (turpmāk – budžets), kā arī budžeta izpildītāju pienākumus un atbildību.

2. Apstiprināt budžetu šādās sadaļās un apmērā:

2.1. pamatbudžeta finanšu līdzekļu atlikums 2025. gada 1. janvārī 6 694 243 euro;

2.2. ziedojumu un dāvinājumu finanšu līdzekļu atlikums 2025. gada 1. janvārī 1 000 euro;

2.3. pamatbudžets 2025. gadā (1. pielikums):

2.3.1. ieņēmumi – EUR 62 890 468;

2.3.2. izdevumi – EUR 72 331 447;

2.3.3. plānotie aizņēmumi – EUR 6 668 106;

2.3.4. atmaksājamā summa Valsts kases kredītiem (2. pielikums) – EUR 3 702 737;

2.4. ziedojumi un dāvinājumi:

2.4.1. ieņēmumi 1 000 euro;

2.4.2. izdevumi 2 000 euro.

(Grozīts ar Ādažu novada domes 27.03.2025. saistošajiem noteikumiem Nr. 20/2025; 29.05.2025. saistošajiem noteikumiem Nr. 23/2025; 26.06.2025. saistošajiem noteikumiem Nr. 27/2025; 28.08.2025. saistošajiem noteikumiem Nr. 33/2025; 23.10.2025. saistošajiem noteikumiem Nr. 37/2025; 22.12.2025. saistošajiem noteikumiem Nr. 47/2025)

3. Apstiprināt pašvaldības domes priekšsēdētājas ziņojumu (1. pielikums).

4. Apstiprināt paskaidrojuma rakstu par budžetu (3. pielikums).

5. Apstiprināt aizņēmumu un citu ilgtermiņa saistību pārskatu (4. pielikums).

6. Apstiprināt ieņēmumu un izdevumu sadalījumu 2025. gadam pa funkcionālajām kategorijām un ekonomiskās klasifikācijas kodiem (5. pielikums).

7. Noteikt, ka:

7.1. laika posmā starp pašvaldības budžeta grozījumiem, ar pašvaldības domes priekšsēdētājas rīkojumu var piešķirt finanšu līdzekļus operatīvu neatliekamo izdevumu apmaksai līdz 5000 euro apmērā no programmas "Līdzekļi neparedzētiem gadījumiem", un par to izlietojumu domes priekšsēdētaja informē Finanšu komiteju tās kārtējā sēdē;

7.2. Centrālās pārvaldes Grāmatvedības nodaļa nodrošina kredītu pamatsummas un kredītu procentu samaksu noteiktajos termiņos un apmēros 2025. gadā, saskaņā ar noslēgtajiem finanšu saistību līgumiem;

7.3. budžeta izpildītāji (iestāžu un struktūrvienību vadītāji) atbild par budžeta līdzekļu atbilstošu un racionālu izlietojumu. Izdevumi pēc naudas plūsmas nedrīkst pārsniegt attiecīgajā budžeta izdevumu tāmē apstiprinātos plānotos budžeta izdevumus atbilstoši ekonomiskajām un funkcionālajām kategorijām;

7.4. pašvaldības aizņēmuma apjoms katra investīciju projekta finansēšanai tiek apstiprināts ar domes lēmumu;

7.5. par pašvaldības budžeta iestāžu ieņēmumu no maksas pakalpojumiem administrēšanu, aprēķināšanu un iekasēšanu atbild pakalpojuma sniedzējs – attiecīgā iestāde, t.sk., par katra pakalpojuma nepieciešamības izvērtēšanu, ņemot vērā tā būtību un sniegšanas lietderību, kā arī izcenojuma atbilstību budžetā apstiprinātajiem izdevumiem.

8. Saistošie noteikumi stājas spēkā nākamajā dienā pēc to izsludināšanas.

Ādažu novada pašvaldības domes priekšsēdētāja K. Miķelsone
1. pielikums
Ādažu novada pašvaldības
2025. gada 22. janvāra
saistošajiem noteikumiem Nr. 1/2025
Vispārīga informācija par ekonomisko situāciju pašvaldībā un 2025. gada budžetu

Ādažu novads ir daļa no starptautiski konkurētspējīga Rīgas metropoles areāla, Latvijas centrālajā daļā, uz ziemeļiem no Rīgas pilsētas. Ādažu novadu veido 22 teritoriālās vienības, tai skaitā pilsēta – Ādaži un 2 pagasti (Ādažu un Carnikavas). Ādažu novada administratīvais centrs ir Ādažu pilsēta.

2024. gadā, tāpat kā iepriekšējos gados, Ādažu novadā turpinājās ierobežota izaugsme, ko būtiski ietekmēja pašvaldības sabalansēts budžets un starptautiskās drošības situācijas izmaiņu sekas, kuras rezonanse tieši ietekmēja arī novada iedzīvotājus, uzņēmējdarbību un sabiedrību kopumā. Krievijas izraisītā kara Ukrainā rezultātā tieši un pastarpināti turpinājās iepriekšējā gadā sāktais cenu kāpums precēm un pakalpojumiem, kā arī sabiedrībā kopumā nostiprinājās atziņa, ka svarīgas un pierastas lietas strauji transformējas un pielāgojas jauniem un skarbiem ārējiem apstākļiem.

Novada līdzsvarotas un ilgtspējīgas attīstības nodrošināšanai ir izstrādāti un apstiprināti pašvaldības plānošanas dokumenti: Ādažu novada ilgtspējīgas attīstības stratēģija līdz 2037. gadam, Ādažu novada attīstības programma 2021.–2027. gadam ar Rīcības plānu un Investīciju plānu. 2024. gadā tika veikta abu minēto plānu aktualizācija, kā arī tika apstiprināts Attīstības programmas trīs gadu uzraudzības ziņojums. Plānošanas dokumenti ir pamats Ādažu novada pašvaldības rīcību un investīciju mērķtiecīgai plānošanai un visu veidu investīciju piesaistei.

Tāpat kā iepriekšējos gados, Ādažos novadā turpinās iedzīvotāju skaita pieaugums. 2025. gadu iesākām ar 24 686 deklarētiem iedzīvotājiem. Tuvums galvaspilsētai, daba, ūdeņi un nozīmīgas transporta maģistrāles padara novadu pievilcīgu gan iedzīvotājiem, gan arī uzņēmumiem, stabili ierindojot Ādažu novadu starp straujāk augošajiem novadiem ne vien iedzīvotāju, t.sk. izglītojamo skaita, bet arī piesaistīto investīciju ziņā. Aizvadīto desmit gadu laikā iedzīvotāju skaits novadā ir ievērojami audzis, ļaujot prognozēt, ka arī 2025. gadā iedzīvotāju skaitam būs augoša tendence, galvenokārt valsts iekšējās migrācijas rezultātā. Ādažu novada dzimtsarakstu nodaļas sniegtā informācija apliecina, ka arī 2024. gadā dzimstības rādītāji bijuši ar pozitīvu iezīmi, un dzimstības rādītāji pārsniedz mirstības statistikas rādītājus. 2024. gadā noslēgtas 142 laulības un reģistrēti 188 jaundzimušie.

Vidējais bezdarba līmenis novadā ir 2,6 % (bezdarbnieku skaits darbaspējas vecumā), un tas ir ievērojami zemāks, nekā valstī un Rīgas metropoles areālā. 52 % no novada iedzīvotājiem ir pieaugušie darbspējīgā vecumā, 21 % ir seniori, un 27 % ir bērni un jaunieši.

Kopumā vispārējais stāvoklis novadā ir pozitīvi tendēts, vienlaikus radot arvien pieaugošu slodzi publiskajai infrastruktūrai, komunālo pakalpojumu un izglītības sektoram, kā rezultātā pieprasījums pēc pakalpojumiem faktiski pārsniedz to pieejamību. Tā, piemēram, iepriekšējos desmit gados izglītojamo skaits pieauga par 51,6 %.

Ādažu novads ir jauns novads, un tas likumsakarīgi paredz, ka izglītība un tās infrastruktūras attīstība ir galvenā novada prioritāte. Kopējais izglītojamo skaits novada piecās pirmsskolas izglītības iestādēs sasniedzis 1100 izglītojamos. Savukārt vispārējās izglītības iestādēs, salīdzinot ar 2021. gadu, 2024. gadā izglītojamo skaits pieauga par 421 skolēnu, 2024. gadā sasniedzot 2765 izglītojamos. Drosmīgs un vēsturisks notikums 2024. gadā bija Carnikavas vidusskolas atklāšana, kas nedaudz izlīdzināja izglītības pieejamības pieprasījumu vidusskolas vecuma segmentā.

Analizējot novada iedzīvotāju un attīstības rādītājus, ir jāpiemin arī uzņēmējdarbības loma. Ādažu novads ir ekonomiski aktīvs. Uzņēmējdarbība attīstās vairākos virzienos – mājokļu celtniecība, ražošana, pakalpojumu sniegšana, tirdzniecība, u.tml. 2024. gadā novadā tika reģistrētas 92 jaunas sabiedrības ar ierobežotu atbildību (SIA) un 1 akciju sabiedrība. 2025. gada sākumā novadā bija reģistrēti 2353 uzņēmumi. Lielākie no tiem ražošanas apjomu un nodarbināto skaita ziņā darbojas pārtikas ražošanā (zivju un gaļas produktu, alkoholisko un bezalkoholisko dzērienu, kā arī citu pārtikas izstrādājumu ražošana), metālapstrādē, kokapstrādē, celtniecībā, kravu pārvadāšanā, plastmasas būvelementu ražošanā, šķiroto materiālu pārstrādē, gatavo tekstilizstrādājumu un plastmasas iepakojumu ražošanā, apģērbu un apavu, kā arī augļu un dārzeņu tirdzniecībā.

Pateicoties pašvaldības aktīvajai darbībai un veiksmīgai Eiropas Savienības un citu investīciju projektu finansējuma apguvei Ādažu novads kļūst par perspektīvu komerczonu ar starptautisku konkurētspēju. Mežgarciema infrastruktūra, kas izveidota ar neatlaidīgu un mērķtiecīgi piesaistītu finansējumu, nodrošina augstas kvalitātes uzņēmējdarbības vidi, kas atbilst arī starptautisko investoru prasībām. Eimuru teritorija attīstās par inovatīvu uzņēmējdarbības centru, piedāvājot iespējas dažādu nozaru pārstāvjiem ar skatu uz globālo tirgu. Plānotā Jaunkūlu ielas infrastruktūras pārbūve Ādažos vēl vairāk uzlabos uzņēmējdarbības vides pieejamību un loģistikas savienojumus.

Carnikavā un Ādažos paredz sākt darbību jauni tirdzniecības uzņēmumi, turklāt komerczona pie valsts autoceļa A1 (Baltezers–Ainaži), kas stratēģiski savieno Latvijas galvaspilsētu ar Ziemeļvalstu tirgiem, ir vilinoša investoriem un attīstītājiem, kā investīcijām pievilcīga vide.

Ādažu novada pašvaldība ir viena no nedaudzajām, kas iesaista iedzīvotājus novada pilnveidošanas un attīstības procesā. Jau 15 gadus ar pašvaldības finansējumu tiek organizēts konkurss "Sabiedrība ar dvēseli", kur iedzīvotāji realizē projektus savas dzīvesvides uzlabošanai. 2025. gadā pirmo reizi pašvaldības budžetā paredzēts arī Līdzdalības budžets, kur projektu ieceres ierosinās iedzīvotāji, kā arī balsojumā izvēloties pievilcīgākos no tiem turpmākajai īstenošanai. Iepriekšējā gadā pašvaldība aicināja iedzīvotājus iesaistīties Iedzīvotāju padomēs un 2025. gadā Ādažu pilsētas, Ādažu pagasta un Carnikavas pagasta Iedzīvotāju padomēs ir ievēlēti priekšsēdētāji, un padomes uzsāka darbību.

Lai gan novads aug un attīstās, 2025. gadā pašvaldības budžeta izdevumi pārsniedz novada ieņēmumus, lai nosegtu visas publiskās un saimnieciskās vajadzības un veiktu iemaksas Pašvaldību finanšu izlīdzināšanas fondā. Šāda situācija diemžēl ļoti ierobežo pašvaldības iestāžu, publiskās infrastruktūras un brīvprātīgo iniciatīvu attīstību.

Pašvaldības nozīmīgākie pēdējos gados īstenotie un uzsāktie projekti:

1) Carnikavas stadiona rekonstrukcija;

2) plūdu risku novēršanas pasākumi, veicot Ādažu centra poldera aizsargdambja atjaunošanu un pagarināšanu;

3) sociālo rehabilitācijas pakalpojumu pieejamības nodrošināšana Dienas centrā "Ādažu Ūdensroze" un Ādažu novada sociālā dienesta filiālē Carnikavā;

4) pastaigu celiņa izveide gar Gaujas–Baltezera kanālu;

5) maģistrālās veloceļu infrastruktūras būvniecība Rīga–Kalngale–Garciems–Garupe–Carnikava, 11 km garumā, piesaistot investīcijas 3,9 miljonu euro apmērā;

6) Carnikavas pamatskolas reorganizācija, izveidojot Carnikavas vidusskolu;

7) Ādažu vidusskolas ēkas siltināšana un ventilācijas ierīkošana;

8) jaunas pirmsskolas izglītības iestādes izveides plānošana Podnieku apkaimē, piesaistot investīcijas 5 miljonu euro apmērā;

9) mobilitātes punkta infrastruktūras izveidošana Carnikavā, piesaistot investīcijas 1,2 miljonu euro apmērā;

10) publiskās ārtelpas attīstība Ādažos, Gaujas ielā 31;

11) Jauniešu centra pakalpojuma izveide Ādažos, Gaujas ielā 25;

12) Ādažu novada Mākslu skolas Carnikavas mācību punkta publiskās ārtelpas labiekārtošana, palielinot ārtelpas pievilcību;

13) primārās veselības aprūpes infrastruktūras izveide ģimenes ārstiem Carnikavā, Garā iela 20;

14) Vecštāles ceļa rekonstrukcija Kadagas ciemā;

15) ielu apgaismojuma gaismekļu nomaiņa nozīmīgā apmērā novada teritorijā, u.c.

Pašvaldības prioritātes 2025. gada investīcijās veido ES un citi finanšu instrumenti, kredīti un pašvaldības budžets. Lielākie finanšu resursi atvēlēti ielu, tiltu un ceļu infrastruktūras attīstībai, kā arī izglītības iestāžu būvniecībai un pārbūvei. Saskaņā ar Ādažu novada Attīstības programmas Investīciju plānu 2024.–2027. gadam, plānots veikt apjomīgas investīcijas ceļu infrastruktūrā un izglītības infrastruktūrā, kā arī energoefektivitātes uzlabošanā. Pašvaldībā 2025. gadā ir šādas budžeta prioritātes:

1) ielu, tiltu un ceļu infrastruktūras attīstība;

2) investīciju projekti;

3) izglītība;

4) sociālais atbalsts;

5) publiskās ārtelpas atjaunošana.

Ielu, tiltu un ceļu infrastruktūras attīstībā 2025. gadā viena no prioritātēm ir pašvaldības ceļu programmā ietverto ceļu un ielu seguma, tiltu infrastruktūras un vides uzlabošana, kā arī jauna veloceliņa un stāvlaukuma izbūve. Būtisks uzsvars tiek likts uz ceļu segumu dubultās virsmas apstrādi, paredzot tam lielāku finansējumu, nekā iepriekš. Paredzēts izstrādāt – Smilšu ielas (Carnikavā) un Krastupes ielas (Ādažos) būvprojektus un uzsākt būvdarbus. Turpināsies ceļu satiksmes drošības uzlabošana novada ciemos, īpaši, mazāk aizsargātiem ceļu satiksmes dalībniekiem.

Ārējo investīciju piesaiste (tai skaitā ES, ANM un citi fondi) ir būtisks atspaids pašvaldības budžetam. Pieejamie resursi ir pakārtoti attīstības prioritātēm, finansējuma devēju noteiktajiem termiņiem un izpildes nosacījumiem, nodrošinot budžeta sabalansētību pakalpojumu kvalitātes nodrošināšanai un attīstību veicinošu projektu īstenošanas turpināšanai. Lielākie investīciju projekti, piemēram, jaunas pirmsskolas izglītības iestādes Podnieku apkaimē un maģistrālās veloceļu infrastruktūras izveide, tika uzsākti 2024. gadā un īstenoti tuvāko gadu laikā, pašvaldības budžetā paredzot vairāk, kā 10 milj. euro no piesaistītām investīcijām.

Lai turpinātu attīstīt infrastruktūru gājējiem un velobraucējiem, šogad plānots izbūvēt apvienoto gājēju ceļu un veloceļu gar autoceļu P1 Carnikavas pagastā no Kalngales līdz Carnikavai. Projektā plānots labiekārtot arī teritoriju, uzstādīt gaismekļus, atkritumu urnas, atpūtas soliņus un statīvus velosipēdu novietošanai, u.tml. Plānots uzlabot arī esošo ceļu infrastruktūru abos pagastos. Lai uzlabotu satiksmes organizāciju un nodrošinātu ērtu un drošu gājēju pārvietošanos, pašvaldība izbūvēs ceļu barjeras, drošas un apgaismotas gājēju pārejas, kā arī satiksmes slāpēšanas elementus. Pašvaldība ir veikusi publisko iepirkumu Dzirnupes tilta projektēšanai, projektam ir izstrādāta tehniskā dokumentācija un saņemta būvvaldes atzīme par projektēšanas nosacījumu izpildi, līdz ar to 2025. gadā uzsāksim būvdarbus. Šogad plānots pabeigt Ķiršu ielas pārbūvi Ādažos no Pirmās ielas līdz Rīgas gatvei. Paredzētas satiksmes organizācijas izmaiņas Skolas ielā, kā arī ceļu klātnes atjaunošana. Jaunkūlu ielas pārbūves projektam plānots veikt 1.kārtas būvdarbus un sagatavot pieteikumu investīciju piesaistei arī 2. un 3. projekta kārtas realizācijai.

Ņemot vērā iepriekš aprakstītos datus par demogrāfisko situāciju un iedzīvotāju darbspējas vecuma struktūru, izglītība un tās infrastruktūra Ādažu novadā 2025. gadā un turpmāk būs viena no galvenajām prioritātēm. Lielais pieprasījums pēc novada pirmsskolas un vispārējās izglītības iestāžu pakalpojumiem liek meklēt jaunus risinājumus, kā paplašināt izglītības iestāžu platības, lai bērni izglītību iegūtu savā novadā. Bērnu skaita dinamika ir straujāka par pašvaldības finansiālajām iespējām paplašināt izglītības infrastruktūru. Pašvaldība šim mērķim ir spējusi rast līdzekļus, gan piesaistot Eiropas Savienības līdzekļus, gan ņemot kredītu, lai plānveidīgi veidotu jaunu izglītības infrastruktūru abos pagastos. Kopumā izglītībai un tās infrastruktūras attīstībai 2025. gadā plānots par 7 milj. vairāk, nekā iepriekšējā gadā. Fondu finansējums un aizņēmumi izglītības infrastruktūrai plānoti 6,4 miljonu euro apmērā. Turpinot darbu pie Jaunas pirmsskolas izglītības iestādes Podnieku apkaimē būvniecības, 2025. gadā paredzēts ieguldīt vairāk kā 5 milj. euro, pēc projekta pabeigšanas plānots nodrošināt pakalpojumu vairāk par 280 pirmsskolas vecuma bērniem. Ādažu vidusskolas ēkas atjaunošanai plānoti 0,8 milj. euro, t.sk. noslēgt ēkas siltināšanu un ventilācijas sistēmu uzstādīšanu vairāk par 1300 skolēniem, kā arī plānotas investīcijas lifta izbūvei. Lai veicinātu sabiedrības un īpaši skolēnu veselīgu dzīvesveidu un ārpusizglītības sporta aktivitātes, 2025. gadā paredzēts uzsākt darbu pie Carnikavas skeitparka projektēšanas, lai atjaunotu pakalpojumu un paplašinātu to ar mūsdienīgiem risinājumiem. Skatoties uz turpmāko novada izglītības iestāžu attīstību, 2025. gadā ieplānota jaunas skolas projektēšana. Viens no vēsturiski lielākajiem ieguldījumu apmēriem sabiedrības kopienu infrastruktūras attīstībai miljons euro ir paredzēts Bauhaus projektam Pirmajā ielā 42, Ādažos un Blusukroga ēkas, Carnikavā, atjaunošanai. Jaunās telpas paredzētas arī sabiedrības vajadzībām, liekot akcentu uz ēku tehnisko drošību un funkcionalitāti iedzīvotāju kopienu stiprināšanai. 2025. gadā notiks Latvijas Skolu jaunatnes dziesmu un deju svētki, kas ir neatņemama nacionāla tradīcija, kuras uzturēšanai svētku gadā paredzēts pašvaldības finansējums, gan tērpu un inventāra nodrošināšanai, gan svētku dalībnieku transportam un saistītiem izdevumiem.

2025. gadā Ādažu novada sociālais dienests sociālā atbalsta nolūkos turpinās izmaksāt ierastos pabalstus, atsevišķiem pabalstiem palielinot apmēru. Turpināsies atbalsts daudzbērnu ģimenēm, kā arī skolēnu ēdināšanai līdz 9. klasei. Atbalsta grupās tiks sniegts izglītojošs, informējošs, pilnveidojošs atbalsts saistībā ar bērnu aprūpes un audzināšanas efektīvu rīcību problēmsituācijās, kā arī sniegts konsultatīvais atbalsts individuāli. Atbalsts tiks nodrošināts atbilstoši bērnu vecumposmiem no zīdaiņa vecuma līdz pilngadībai. Dienas aprūpes centrā pakalpojumus saņem pilngadīgās personas ar garīga rakstura traucējumiem un bērni ar funkcionāliem traucējumiem. Tagad arī Carnikavas pagastā sniedzam dienas centra pakalpojumus pilngadīgām personām.

Publiskās ārtelpas atjaunošanai lielākais uzsvars tiks likts publiski pieejamās koplietošanas labiekārtojuma elementu atjaunošanai, papildināšanai un uzlabošanai ciemos, parkos, rotaļu laukumos, atbilstoši 2024. gadā notikušo pašvaldības un novada ciemu iedzīvotāju tikšanās laikā apkopotajām vajadzībām. Piejūras ciemu publiskās ārtelpas lietošana vasarā ir būtiski intensīvāka par faktisko iedzīvotāju skaitu, vienlaikus, lai arī pakalpojumus iedzīvotāji saņem pagastu centros, vasaras ēku apbūve dinamiski tiek aizstāta ar pastāvīgām mājām un jauno iemītnieku vajadzības ietekmē nepieciešamību atjaunot un papildināt labiekārtojumu novada ciemos.

Pašvaldības darbības finansiālo pamatu veido budžets, kas ir svarīgākais instruments pašvaldības autonomo funkciju un brīvprātīgo iniciatīvu izpildes nodrošināšanai, ekonomisko un sociālo vajadzību sabalansēšanai, kā arī teritorijas ilgtermiņa attīstībai. Tā galvenais uzdevums ir maksimāli izmantot visus materiālos un finanšu resursus, noteikt izdevumus, kas saistīti ar paredzētajiem mērķiem. Veidojot savu budžetu, pašvaldība ir tieši atkarīga no valsts nodokļu politikas, kā arī valsts noteiktajiem makroekonomiskajiem scenārijiem un aprēķiniem pašvaldību finanšu izlīdzināšanai. Budžets ir veidots saskaņā ar Latvijas Republikas likumiem, tostarp "Par budžetu un finanšu vadību", "Par pašvaldību budžetiem" un "Par valsts budžetu 2025. gadam", kā arī citos normatīvajos aktos noteiktās prasības. Šis budžets ir centrālais elements pašvaldības finanšu sistēmā.

Ādažu novada pašvaldības 2025. gada budžets ir dokuments, kas atspoguļo īstermiņā pašvaldības politiku un prioritātes, izmantojot pašvaldības rīcībā esošos finanšu resursus, kā arī lielā mērā nosaka pašvaldības administrācijas rīcības plānu turpmākajam gadam.

Šis 2025. gada pašvaldības budžets ir izstrādāts, balstoties uz ārējiem normatīvajiem aktiem, kā arī valsts finansēšanas un nodokļu politikas prognozēm. 2025. gadā pašvaldības ieņēmumu un izdevumu apjomu būtiski ietekmēs valsts fiskālās politikas vairākas izmaiņas, piemēram, aizņēmumu procentu likmju apmērs, iedzīvotāju ienākuma nodokļa (IIN) likmju izmaiņas pašvaldībām un valsts IIN ieņēmumu pašvaldību daļas piešķiršanas apmēru un nosacījumu izmaiņas, kā arī valsts mērķdotāciju aprēķina izmaiņas, valsts aizdevumu un investīciju grantu pieejamības regulējumi un Eiropas Savienības struktūrfondu pieejamības un izlietojuma nosacījumu spēkā stāšanās.

Pašvaldība ņēma vērā visu nozaru intereses un centās sabalansēt pieejamos finanšu līdzekļus tā, lai nodrošinātu uzlabojumus pašvaldībai un sabiedrībai kopumā svarīgās jomās. Budžets ir sabalansēts atbilstoši pieejamam finansējumam, uzņemtām saistībām, prioritātēm un saimnieciski efektīviem risinājumiem. Šī visaptverošā pieeja jau vairākus gadus nodrošina Ādažu novada ilgtspējīgu izaugsmi, uzlabojot iedzīvotāju dzīves kvalitāti visās nozarēs un sagatavojot novadu nākotnes izaicinājumiem kā dinamisku, iekļaujošu, modernu un ilgtspējīgu pašvaldību.

Pašvaldības budžets 2025. gadam sastāv no pamatbudžeta un ziedojumiem (dāvinājumiem), ko veido ieņēmumu un izdevumu daļas. Budžeta ieņēmumus veido galvenokārt ieņēmumi no iedzīvotāju ienākuma nodokļa (IIN), nekustamā īpašuma nodokļa (NĪN), kā arī citi nodokļu un nodevu ieņēmumi, dažādas valsts mērķdotācijas un ES investīciju projektu finansējumi.

Sastādot pašvaldības 2025. gada budžeta projektu, iedzīvotāju ienākuma nodokļa prognoze tika balstīta uz pašvaldību finanšu izlīdzināšanas aprēķinu 2025. gadam, kas pieejami Finanšu ministrijas tīmekļvietnē. Iedzīvotāju ienākuma nodokļa (IIN) ieņēmumus 2025. gadā aprēķina pēc jaunas nodokļu likmes, to piešķiršana pašvaldībām notiek pēc jaunas metodikas un iespējamā IIN pārpilde pašvaldībās būs izmantojuma tikai nākamā finanšu gada kredītsaistību segšanai, IIN apmēru galvenokārt, ietekmē tautsaimniecībā nodarbināto skaits, darba samaksa, ar iedzīvotāju ienākuma nodokli neapliekamā minimuma un atvieglojumu apmērs, minimālā darba alga, kā arī saistīto nodokļu režīms. Pašvaldībām no kopējās iekasētā iedzīvotāju nodokļa masas tiek atskaitīti tikai 78 %, un 22 % tiek novirzīti valstij. Atskaitījumu proporcija joprojām nav atgriezta iepriekšējā 80/20 noteiktajā līmenī, turklāt 2025. gadā valstī ir samazināts iedzīvotāju ienākuma nodoklis, kura samazinājuma starpību 2025. gadā plāno kompensēt no valsts budžeta līdzekļiem.

2025. gada budžeta sagatavošanā lielākais izaicinājums bija finansējuma nodrošināšana uzsākto investīciju projektu īstenošanas nodrošināšanai, meklējot finansējuma avotus saglabāt iespēju turpmākai attīstībai, kā arī līdzsvarot iestāžu uzturēšanas izdevumu pieaugumu, līdz ar to arī budžetā nav vērojami būtiski izdevumu palielinājumi jau uzsāktās aktivitātēs, izņēmumi attiecas uz iedzīvotāju skaita palielinājumu un sniegto pakalpojumu pieaugumu.

Pašvaldības budžeta izdevumu lielākā daļa tiks tērēta izglītībai (44 %) un pašvaldības teritoriju un mājokļu apsaimniekošanai (24 %).

Arī pašvaldība var veikt investīcijas, savlaicīgi paredzot tām budžetā attiecīgus izdevumus – uzkrājot nepieciešamo naudas apjomu, pārdodot tai piederošus aktīvus, vai arī aizņemoties (faktisko ieguldījumu veicot aizņēmuma atmaksas veidā vairāku gadu garumā).

Lai saglabātu līdzsvaru attīstībā un novada dabas pievilcībā iedzīvotājiem, pašvaldība turpina darbu pie videi draudzīgu risinājumu iedzīvināšanas publiskās ārtelpas plānošanā. Liela nozīme turpināt uzsākto Teritorijas plānojumu ar Satiksmes un ainavas tematiskiem plānojumiem.

2025. gadā novadā pirmo reizi darbu uzsāk Ādažu pilsētas, Ādažu pagasta un Carnikavas pagasta Iedzīvotāju padomes, tāpat pirmo reizi papildus Iedzīvotāju iniciatīvu projektiem un papildu konkursa "Sabiedrība ar dvēseli" projektu finansējumam, budžetā ir paredzēti līdzekļi iedzīvotāju līdzdalības budžetam.

Vienveidīgas pārvaldības kārtības iedibināšanai centralizēto ūdensapgādes un siltumapgādes sistēmu uzturēšanai Carnikavas pagastā pašvaldība 2024. gadā nodeva minēto sistēmu uzturēšanas funkciju pašvaldības kapitālsabiedrībām, kas nodrošinās pakalpojumus un jau 2025. gadā plānotas vērienīgas ūdenssaimniecības un kanalizācijas tīklu paplašināšanas projektu realizācija Kalngales un Garkalnes notekūdeņu attīrīšanas komunikāciju savienošana ar Ādažu NAI.

Iepriekšējos gados pašvaldības ņemto kredītu lielais apjoms Valsts Kasē, lai realizētu Eiropas Savienības struktūrfondu atbalstītos investīciju projektus, joprojām liek piesardzīgāk plānot ilgtermiņa aktivitātes un attīstības projektus, jo, uzņemoties jaunas finanšu saistības, objektīvi samazināsies budžetā pieejamie līdzekļi pārējo izdevumu segšanai, kas vitāli nepieciešams pašvaldības iestāžu uzturēšanai, kuru sniegtie pakalpojumi pieaug katru gadu, gan ārējos normatīvajos aktos noteikto funkciju paplašināšanai, gan iedzīvotāju skaita pieaugumam, gan pašvaldības brīvprātīgo funkciju izpildei.

2025. gada budžets ir arī pašvaldības ilgtspējības instruments, jo tas nodrošina iepriekš uzsākto aktivitāšu turpināšanu un ar tā palīdzību tiek veiktas iestrādes tālākai Ādažu novada sociālajai un ekonomiskajai attīstībai, kā arī iedzīvotāju dzīves kvalitātes uzlabojumiem.

Skaitliskā informācija par budžeta ieņēmumiem, izdevumiem un klasifikāciju norādīta saistošo noteikumu 2., 3. un 4. pielikumā.

Ādažu novada pašvaldības domes priekšsēdētāja K. Miķelsone
2. pielikums
Ādažu novada pašvaldības
2025. gada 22. janvāra
saistošajiem noteikumiem Nr. 1/2025

(Pielikums Ādažu novada domes 22.12.2025. saistošo noteikumu Nr. 47/2025 redakcijā)

Pamatbudžets 2025. gadam

IEŅĒMUMU DAĻA

Klasifikācijas kods

Nr.p.k.

Sadaļa

23.10.2025. grozījumi

22.12.2025. grozījumi

Izmaiņas

 1. – 5.Nodokļu ieņēmumi

41 793 189

41 793 189

 

1.1.0.0.1.Iedzīvotāju ienākuma nodoklis

38 486 849

38 486 849

 

 1.1.pārskata gada

38 486 849

38 486 849

 

 2.-4.Nekustamā īpašuma nodokļu ieņēmumi

3 211 340

3 211 340

 

4.1.1.0.2.Nekustamā īpašuma nodoklis par zemi

2 082 625

2 082 625

 

 2.1.pārskata gada

1 945 625

1 945 625

 

 2.2.iepriekšējo gadu parādi

137 000

137 000

 

4.1.2.0.3.Nekustamā īpašuma nodoklis par ēkām

392 228

392 228

 

 3.1.pārskata gada

362 228

362 228

 

 3.2.iepriekšējo gadu parādi

30 000

30 000

 

4.1.3.0.4.Nekustamā īpašuma nodoklis par mājokļiem un inženierbūvēm

736 487

736 487

 

 4.1.pārskata gada

665 899

665 899

 

 4.2.iepriekšējo gadu parādi

70 588

70 588

 

5.5.3.0.5.Nodokļi un maksājumi par tiesībām lietot atsevišķas preces

95 000

95 000

 

 5.1.Azartspēļu nodoklis

5 000

5 000

 

 5.2.Dabas resursu nodoklis

90 000

90 000

 

9.0.0.0.6.Valsts (pašvaldību) un kancelejas nodevas

144 060

144 060

 

 6.1.valsts nodevas

6 100

6 100

 

 6.1.1.t.sk.: – par apliecinājumiem un citu funkciju pildīšanu bāriņtiesā

1 100

1 100

 

 6.1.2.t.sk.: – par civilstāvokļa aktu reģistrēšanu, grozīšanu un papildināšanu

4 500

4 500

 

 6.1.3.t.sk.: – pārējās valsts nodevas, kuras ieskaita pašvaldību budžetā

500

500

 

 6.2.pašvaldību nodevas

137 960

137 960

 

 6.2.1.t.sk.: – nodeva par domes izstrādāto oficiālo dokumentu saņemšanu

100

100

 

 6.2.2.t.sk.: – nodeva par izklaidējoša rakstura pasākumu sarīkošanu publiskās vietās

1 860

1 860

 

 6.2.3.t.sk.: – nodeva par tirdzniecību publiskās vietās

33 000

33 000

 

 6.2.4.t.sk.: – nodeva par reklāmas, afišu un sludinājumu izvietošanu publiskās vietās

13 000

13 000

 

 6.2.5.t.sk.: – nodeva par būvatļaujas saņemšanu

85 000

85 000

 

 6.2.6.t.sk.: – pārējās nodevas

5 000

5 000

 

10.0.0.0.7.Naudas sodi un sankcijas

130 000

130 000

 

 7.1.Naudas sodi un sankcijas

90 000

90 000

 

 7.2.Naudas sodi par pārkāpumiem ceļu satiksmē

40 000

40 000

 

12.0.0.0.8.Pārējie nenodokļu ieņēmumi

35 728

35 728

 

 8.1.citi nenodokļu ieņēmumi

25 728

25 728

 

 8.2.līgumsodi un procentu maksājumi par saistību neizpildi

 

 8.3.ieņēmumi no zvejas tiesību nomas

10 000

10 000

 

13.0.0.0.9.Ieņēmumi no pašvaldības īpašumu pārdošana

159 278

159 278

 

18.6.0.0.10.Valsts budžeta transferti un projektu finansējums

19 335 619

19 390 884

55 265

 10.1.Valsts budžeta transferti

10 401 710

10 456 975

55 265

 10.1.1.dotācija mākslas skolas algām

833 236

833 236

 

 10.1.2.dotācija sporta skolai

313 180

313 180

 

 10.1.3.dotācija skolēnu ēdināšanai

341 692

341 692

 

 10.1.4.dotācija mācību grāmatām

120 296

120 296

 

 10.1.4.1.t.sk.: – dotācija mācību grāmatām

120 296

120 296

 

 10.1.4.2.t.sk.: – dotācija digitālajiem mācību līdzekļiem

 

 

 

 10.1.5.dotācijas pedagogu algām (vsk., PII)

7 340 502

7 340 502

 

 10.1.5.1.t.sk.: – piecgadīgo bērnu apmācība

1 045 720

1 045 720

 

 10.1.5.2.t.sk.: – skolotāju algām

5 751 505

5 751 505

 

 10.1.5.3.t.sk.: – interešu izglītība

543 277

543 277

 

 10.1.6.dotācija māksliniecisko kolektīvu vadītāju atalgojumam

26 360

26 360

 

 10.1.7.Projekts "Skolas soma" Ādaži

37 756

37 756

 

 10.1.8.Projekts "Skolas soma" Carnikava

13 882

13 882

 

 10.1.9.dotācija asistenta pakalpojumu nodrošināšanai

580 000

635 265

55 265

 10.1.10.valsts dotācija ceļu uzturēšanai

406 576

406 576

 

 10.1.11.dotācijas Ukrainas pilsoņu atbalstam

70 000

70 000

 

 10.1.12.dotācijas nodarbinātības pasākumiem

12 607

12 607

 

 10.1.13.EKII

38 052

38 052

 

 10.1.14.pārējās dotācijas

267 571

267 571

 

18.6.3.0.10.2.ES struktūrfondu līdzekļi un aktivitāšu līdzfinansējumi

7 981 640

7 981 640

 

 10.2.1.Projekts "Infrastruktūras uzlabošana uzņēmējdarbības attīstībai Ādažos"

638 646

638 646

 

 10.2.2.Publiskās ārtelpas izveide Gaujas ielā 31 Ādažos

103 070

103 070

 

 10.2.3.ES Kohēzijas fonda projekts "STEM un pilsoniskās līdzdalības norises plašākai izglītības pieredzei un karjeras izvēlei"

73 815

73 815

 

 10.2.4.LIFE NewBauhaus projekts

267 455

267 455

 

 10.2.5.Jaunais plūdu projekts – 2.1.3.2. "Nacionālas nozīmes plūdu un krasta erozijas pasākumi" 1. daļa

217 332

217 332

 

 10.2.6.Krastupes ielas projekts

308 659

308 659

 

 10.2.7.EKII

 

 10.2.8.Jaunas pirmsskolas izglītības iestādes Podniekos būvniecība

2 500 000

2 500 000

 

 10.2.9.Projekts "Digitālā darba ar jaunatni sistēmas attīstība pašvaldībās"

30 428

30 428

 

 10.2.10."Mobilitātes punkta infrastruktūras izveidošana Rīgas metropoles areālā – "Carnikava""

830 550

830 550

 

 10.2.11.Maģistrālā veloceļa izbūve Rīga–Carnikava

2 661 252

2 661 252

 

 10.2.12."Blusu" kroga pārbūves tehniskā projekta izstrāde

333 333

333 333

 

 10.2.13.LEADER projektu realizācija

17 100

17 100

 

 10.3.IIN budžeta dotācija

952 269

952 269

 

19.2.0.0.11.Pašvaldību budžeta transferti

350 000

350 000

 

 11.1.no citām pašvaldībām izglītības funkciju nodrošināšanai

350 000

350 000

 

21.0.0.0.12.Budžeta iestāžu ieņēmumi

887 329

887 329

 

 12.1.maksa par izglītības pakalpojumiem

219 800

219 800

 

 12.1.1.ieņēmumi no vecāku maksām (PII)

61 000

61 000

 

 12.1.2.ieņēmumi no vecāku maksām (ĀNMS, BJSS)

158 800

158 800

 

 12.2.pārrobežu projektu ieņēmumi

136 186

136 186

 

 12.2.1.ERASMUS + projekti

136 186

136 186

 

 12.2.2.citi pārrobežu projektu ieņēmumi

 

 12.3.ieņēmumi par nomu un īri

332 370

332 370

 

 12.3.1.ieņēmumi par telpu nomu

236 370

236 370

 

 12.3.2.ieņēmumi par zemes nomu

96 000

96 000

 

 12.3.3.pārējie ieņēmumi par nomu

 

 12.4.budžeta iestāžu maksas pakalpojumi

98 350

98 350

 

 12.4.1.budžeta iestāžu maksas pakalpojumi

98 350

98 350

 

 12.4.2.ieņēmumi no biļešu realizācijas

 

 12.5.pārējie ieņēmumi/stāvvietu ieņēmumi

100 623

100 623

 

  

KOPĀ IEŅĒMUMI:

62 835 203

62 890 468

55 265

F21010000 AS13.Naudas līdzekļu atlikums gada sākumā

6 694 243

6 694 243

 

 13.1.Naudas atlikums iezīmētiem mērķiem

1 040 957

1 040 957

 

 13.2.Naudas atlikums pašvaldības līdzekļi

5 653 286

5 653 286

 

F4002001014.Valsts Kases kredīti

6 668 106

6 668 106

 

 14.1.Aizņēmums skolas ielas rekonstrukcijai

85 000

85 000

 

 14.2.Jaunas pirmsskolas izglītības iestādes Podniekos būvniecība

3 100 179

3 100 179

 

 14.3.Āra lifta izbūve pie A korpusa

85 000

85 000

 

 14.4.Ādažu vidusskolas D korpusa siltināšana

255 000

255 000

 

 14.5.Ādažu vidusskolas ēkas A korpusa, savienojuma daļas starp korpusiem (A un B), kā arī, vidusskolas centrālās daļas, tai skaitā torņa fasādes atjaunošana.

474 147

474 147

 

 14.6.Dzirnupes ielas tilta pārbūve I kārta

510 000

510 000

 

 14.7.Projekts "Infrastruktūras uzlabošana uzņēmējdarbības attīstībai Ādažos"

295 238

295 238

 

 14.8.Krastupes ielas projekts

70 622

70 622

 

 14.9."Mobilitātes punkta infrastruktūras izveidošana Rīgas metropoles areālā – "Carnikava""

183 524

183 524

 

 14.10.Maģistrālā veloceļa izbūve Rīga–Carnikava

1 609 396

1 609 396

 

 

KOPĀ PIEEJAMAIS FINANSĒJUMS:

76 197 552

76 252 817

55 265

IZDEVUMU DAĻA

Klasifikācijas kods

Nr.p.k.

Sadaļa

23.10.2025. grozījumi

22.12.2025. grozījumi

Izmaiņas

01.0001.Vispārējie valdības dienesti

12 225 212

12 225 212

 

 1.1.pārvalde

2 119 494

2 119 494

 

 1.2.deputāti

377 185

377 185

 

 1.3.administratīvā komisija

62 822

62 822

 

 1.4.iepirkumu komisija

45 177

45 177

 

 1.5.vēlēšanu komisija

88 097

88 097

 

 1.6.pārējās komisijas

33 489

33 489

 

 1.7.aizņēmumu procentu maksājumi

2 052 431

2 052 431

 

 1.8.Iemaksas PFIF

6 917 724

6 917 724

 

 1.9.Informācijas tehnoloģiju nodaļa, vispārējas nozīmes dienestu darbība un pakalpojumi – datortīkla uzturēšana

528 793

528 793

 

03.0002.Sabiedriskā kārtība un drošība

1 122 076

1 122 076

 

04.0003.Ekonomiskā darbība

646 058

646 058

 

 3.1.Sabiedriskās attiecības, laikraksts

200 531

200 531

 

 3.2.Autoceļu fonds

445 527

445 527

 

05.0004.Vides aizsardzība

255 687

255 687

 

 4.1.Dabas resursu nodokļa izlietojums

255 687

255 687

 

06.0005.Pašvaldības teritoriju un mājokļu apsaimniekošana

18 072 875

18 063 244

-9 631

 5.1.Izdevumi neparedzētiem gadījumiem

70 000

70 000

 

 5.2.Līdzdalības budžets

52 568

52 568

 

 5.3.Būvvalde

333 393

333 393

 

 5.4.Teritorijas plānošanas nodaļa

334 779

334 779

 

 5.5.Attīstības un projektu nodaļa

8 499 555

8 499 555

 

 5.5.1.nodaļa

562 673

562 673

 

 5.5.2.Projekts "Sabiedrība ar dvēseli"

40 000

40 000

 

 5.5.3.Iedzīvotāju iniciatīvas un konkursi.

14 400

14 400

 

 5.5.4.TEP "Atjaunojamo energoresursu izmantošana Ādažu novadā" (EUCF)

38 413

38 413

 

 5.5.5."Mobilitātes punkta infrastruktūras izveidošana Rīgas metropoles areālā – "Carnikava""

1 045 546

1 045 546

 

 5.5.6.Maģistrālā veloceļa izbūve Rīga–Carnikava

4 425 220

4 425 220

 

 5.5.7."Upesceļi II/Ūdenstūrisma pieejamības veicināšana (RiverwaysII/Facilitating access to watertourism activities)".

34 550

34 550

 

 5.5.8.Projekts "Infrastruktūras uzlabošana uzņēmējdarbības attīstībai Ādažos"

950 824

950 824

 

 5.5.9.Publiskās ārtelpas izveide Gaujas ielā 31 Ādažos

138 477

138 477

 

 5.5.10.Projekts jauniešu asociāciju federācija Eiropas mobilitātei. CERV programmas projekts "YOUTth and democracy: empowering Europe's next generation"

936

936

 

 5.5.11.LIFE NewBauhaus projekts

445 055

445 055

 

 5.5.12."Blusu" kroga pārbūves tehniskā projekta izstrāde

416 333

416 333

 

 5.5.13.Krastupes ielas projekts

387 128

387 128

 

 5.6.Objektu un teritorijas apsaimniekošana un uzturēšana

8 782 580

8 772 949

-9 631

 5.6.1.Nekustamā īpašuma nodaļa

235 916

235 916

 

 5.6.2.SAM 5.1.1. Pretplūdu pasākumi Ādažu centra polderī, Ādažu novadā

 

 5.6.3.Jaunais plūdu projekts – 2.1.3.2. "Nacionālas nozīmes plūdu un krasta erozijas pasākumi" 1. daļa

255 685

255 685

 

 5.6.4.P/A "Carnikavas komunālserviss" teritorijas un īpašumu apsaimniekošana

5 859 560

5 849 929

-9 631

 5.6.5.Investīcijas energosaimniecības uzlabošanā

237 443

237 443

 

 5.6.6.Investīcijas vides pārvaldībā un uzlabošanā

324 942

324 942

 

 5.6.7.Investīcijas ceļu, ielu infrastruktūras attīstībā un uzlabošanā

1 869 034

1 869 034

 

08.0006.Atpūta, kultūra un reliģija

2 595 021

2 625 660

30 639

 6.1.Kultūra

1 559 120

1 559 120

 

 6.1.1.Ādažu kultūras centrs

813 277

813 277

 

 6.1.2.Tautas nams "Ozolaine"

526 028

526 028

 

 6.1.3.Muzejs un Carnikavas novadpētniecības centrs

189 516

189 516

 

 6.1.4.Tūrisms

30 299

30 299

 

 6.2.Ādažu bibliotēka

158 076

158 076

 

 6.3.Carnikavas bibliotēka

73 071

73 071

 

 6.4.Sporta daļa

781 526

812 165

30 639

 6.5.Evaņģēliski luteriskās draudzes

4 000

4 000

 

 6.6.Multihalle

19 228

19 228

 

10.0007.Sociālā aizsardzība

3 479 428

3 534 693

55 265

 7.1.Sociālais dienests

2 701 443

2 756 708

55 265

 7.1.1.Sociālās funkcijas nodrošināšana

646 488

646 488

 

 7.1.2.Pabalsti

1 473 233

1 473 233

 

 7.1.3.Asistentu pakalpojumi

580 000

635 265

55 265

 7.1.4.Uzturēšanas izdevumi (CKS)

1 722

1 722

 

 7.2.Stipendiāti / bezdarbnieki

14 883

14 883

 

 7.3.SAM 9311 Deinstitucionalizācija – Dienas centrs

444 938

444 938

 

 7.3.1.DI centra uzturēšanas izdevumi

432 274

432 274

 

 7.3.2.DI centra uzturēšanas izdevumi (CKS)

12 664

12 664

 

 7.4.Bāriņtiesa

158 418

158 418

 

 7.5.Dotācijas Ukrainas pilsoņu atbalstam

70 604

70 604

 

 7.6.ANM pasākuma "Atbalsta pasākumi cilvēkiem ar invaliditāti mājokļu vides pieejamības nodrošināšanai" projekts

44 312

44 312

 

 7.7.SAM 9.2.4.2. projekts "Pasākumi vietējās sabiedrības veselības veicināšanai"

44 830

44 830

 

09.0008.Izglītība

33 879 825

33 858 817

-21 008

 8.1.Norēķini ar pašvaldību budžetiem par izglītības iestāžu pakalpojumiem

851 975

851 975

 

 8.2.Ādažu Pirmsskolas izglītības iestāde

2 554 567

2 554 567

 

 8.2.1.pedagogu algas, grāmatas (mērķdotācija)

366 421

366 421

 

 8.2.2.pārējās izmaksas

1 669 482

1 669 482

 

 8.2.3.ES Kohēzijas fonda projekts "STEM un pilsoniskās līdzdalības norises plašākai izglītības pieredzei un karjeras izvēlei"

4 307

4 307

 

 8.2.4.uzturēšanas izmaksas (CKS)

514 357

514 357

 

 8.3.Kadagas PII

1 507 350

1 507 350

 

 8.3.1.pedagogu algas, grāmatas (mērķdotācija)

152 344

152 344

 

 8.3.2.pārējās izmaksas

1 107 510

1 107 510

 

 8.3.3.ES Kohēzijas fonda projekts "STEM un pilsoniskās līdzdalības norises plašākai izglītības pieredzei un karjeras izvēlei"

1 643

1 643

 

 8.3.4.uzturēšanas izmaksas (CKS)

245 853

245 853

 

 8.4.Pirmsskolas izglītības iestāde "Riekstiņš"

1 854 007

1 854 007

 

 8.4.1.pedagogu algas, grāmatas (mērķdotācija)

202 607

202 607

 

 8.4.2.pārējās izmaksas

1 405 395

1 405 395

 

 8.4.3.ES Kohēzijas fonda projekts "STEM un pilsoniskās līdzdalības norises plašākai izglītības pieredzei un karjeras izvēlei"

2 331

2 331

 

 8.4.4.uzturēšanas izmaksas (CKS)

243 674

243 674

 

 8.5.Pirmsskolas izglītības iestādes "Piejūra"

1 571 620

1 571 620

 

 8.5.1.pedagogu algas, grāmatas (mērķdotācija)

262 019

262 019

 

 8.5.2.pārējās izmaksas

1 140 525

1 140 525

 

 8.5.3.ES Kohēzijas fonda projekts "STEM un pilsoniskās līdzdalības norises plašākai izglītības pieredzei un karjeras izvēlei"

3 086

3 086

 

 8.5.4.uzturēšanas izmaksas (CKS)

165 990

165 990

 

 8.6.Privātās izglītības iestādes

3 828 674

3 828 674

 

 8.7.Carnikavas vidusskola

2 930 022

2 930 022

 

 8.7.1.pedagogu algas, grāmatas (mērķdotācija)

1 634 540

1 634 540

 

 8.7.2.ēdināšana (mērķdotācija)

94 076

94 076

 

 8.7.3.pārējās izmaksas

716 234

716 234

 

 8.7.4.uzturēšanas izmaksas (CKS)

342 547

342 547

 

 8.7.5.projekts "Skolas soma"

13 940

13 940

 

 8.7.6.ES Kohēzijas fonda projekts "STEM un pilsoniskās līdzdalības norises plašākai izglītības pieredzei un karjeras izvēlei"

15 473

15 473

 

 8.7.7.projekti Erasmus+; NordPlus

113 212

113 212

 

 8.8.Ādažu vidusskola

9 274 809

9 254 101

-20 708

 8.8.1.pedagogu algas, grāmatas (mērķdotācija)

4 741 726

4 741 726

 

 8.8.2.pārējās izmaksas

895 840

896 140

300

 8.8.3.uzturēšanas izmaksas (CKS)

780 672

745 630

-35 042

 8.8.4.projekts Erasmus+

91 079

91 079

 

 8.8.5.projekts "Skolas soma"

41 221

41 221

 

 8.8.6.ES Kohēzijas fonda projekts "STEM un pilsoniskās līdzdalības norises plašākai izglītības pieredzei un karjeras izvēlei"

45 754

45 754

 

 8.8.7.Ādažu vidusskolas D korpusa siltināšana

300 000

305 650

5 650

 8.8.8.Ādažu vidusskolas ēkas A korpusa, savienojuma daļas starp korpusiem (A un B), kā arī, vidusskolas centrālās daļas, tai skaitā torņa fasādes atjaunošana.

557 629

567 229

9 600

 8.8.9.sākumskolas uzturēšanas izmaksas

797 453

797 453

 

 8.8.10.sākumskolas uzturēšanas izmaksas (CKS)

424 433

421 033

-3 400

 8.8.11.sākumskolas ēdināšana (mērķdotācija)

263 797

263 797

 

 8.8.12.PII

335 205

337 389

2 184

 8.8.12.1.- pedagogu algas (mērķdotācija)

86 339

86 339

 

 8.8.12.2.- uzturēšana

231 989

231 989

 

 8.8.12.3.ES Kohēzijas fonda projekts "STEM un pilsoniskās līdzdalības norises plašākai izglītības pieredzei un karjeras izvēlei"

1 221

1 221

 

 8.8.12.4.- uzturēšanas izmaksas (CKS)

15 656

17 840

2 184

 8.9.Ādažu novada mākslu skola

1 864 001

1 863 701

-300

 8.9.1.pedagogu algas (mērķdotācija)

849 831

849 831

 

 8.9.2.pārējās izmaksas

1 014 170

1 013 870

-300

 8.10.Sporta skola

845 947

845 947

 

 8.10.1.pedagogu algas (mērķdotācija)

313 283

313 283

 

 8.10.2.Pašvaldības finansējums

532 664

532 664

 

 8.11.Izglītības un jauniešu lietu pārvalde

687 830

690 310

2 480

 8.12.Līdzfinansējums skolēnu dalībai konkursos

3 000

3 000

 

 8.13.Jaunas pirmsskolas izglītības iestādes Podniekos būvniecība

5 600 179

5 600 179

 

 8.14.Teritorijas novērtēšana pirms būvprojekta izstrādes un būvprojekts jaunas pamatskolas izveidei Ādažu pilsētā

220 567

218 087

-2 480

 8.15.Latvijas Skolu jaunatnes dziesmu un deju svētki

285 277

285 277

 

  

KOPĀ IZDEVUMI:

72 276 182

72 331 447

55 265

F400200209.Kredītu pamatsummas atmaksa

3 702 737

3 702 737

 

  

PAVISAM KOPĀ IZDEVUMI:

75 978 919

76 034 184

55 265

F21010000 AB

-

Naudas līdzekļu atlikums uz gada beigām

218 633

218 633

 

3. pielikums
Ādažu novada pašvaldības
2025. gada 22. janvāra
saistošajiem noteikumiem Nr. 1/2025
Paskaidrojuma raksts par 2025. gada budžetu

Ieņēmumi

Budžeta ieņēmumi 2025. gadā plānoti 61 794 402 euro apmērā, un tos veido nodokļu un nenodokļu ieņēmumi (nodevas, naudas sodi un sankcijas), ieņēmumi no pašvaldības īpašumu pārdošanas, iestāžu sniegtajiem maksas pakalpojumiem un citiem pašu ieņēmumiem, kā arī transferti (mērķdotācijas, kas tiek saņemtas no atsevišķām ministrijām un pašvaldībām un paredzētas galvenokārt pedagogu darba samaksai, kā arī ES fondu finansēto projektu īstenošanai un pašvaldību maksājumiem par izglītības pakalpojumiem).

Pamatbudžeta kontu atlikums 2025. gada 1. janvārī ir 6 694 243 euro.

Ieņēmumi – 2025. gada plāns

Iedzīvotāju ienākuma nodokļa (IIN) prognoze ir 39 439 118 euro.

Nekustamā īpašuma nodokļa (NĪN) prognoze (ieskaitot iepriekšējo gadu parādus) par zemi – 2 082 625 euro, par ēkām – 392 228 euro, par mājokļiem un inženierbūvēm – 736 487 euro.

Dabas resursa nodokļa ieņēmumi plānoti 60 000 euro apmērā un azartspēļu nodokļa ieņēmumi 5 000 apmērā.

Nenodokļu ieņēmumus 309 788 euro apmērā veido valsts un pašvaldības nodevas, naudas sodi un sankcijas, ieņēmumi no pašvaldības īpašumu pārdošanas.

Valsts mērķdotācija pedagogu un treneru atalgojumam, mācību grāmatām, brīvpusdienām, programmai "Skolas soma", māksliniecisko kolektīvu vadītāju atalgojumam, sociālo asistentu pakalpojumu nodrošināšanai, ceļu uzturēšanai un dotācija Ukrainas pilsoņu atbalstam plānota 9 758 404 euro apmērā.

2025. gadā plānots saņemt Eiropas Savienības struktūrfondu līdzekļus 7 860 297 euro apmērā.

Norēķiniem starp pašvaldībām par izglītojamajiem, kas deklarēti citās pašvaldībās, bet apmeklē Ādažu pašvaldības izglītības iestādes, un citi ieņēmumi no citām pašvaldībām plānoti 350 000 euro.

Ieņēmumi par maksas pakalpojumiem, u.c. pašu ieņēmumi ir plānoti 800 455 euro apmērā, tajā skaitā, vecāku maksa par bērnu interešu pulciņu apmeklēšanu pirmsskolas izglītības iestādēs, Mākslu skolā, Ādažu Bērnu un jaunatnes sporta skolā, ieņēmumi par telpu un zemes nomu, u.c.

Izdevumi

Budžeta izdevumi plānoti 71 564 822 euro apmērā un Valsts kases aizņēmumu pamatsummu atmaksas 2025. gadā plānotas 3 467 035 euro apmērā.

Izdevumi – 2025. gada plāns

Vispārējie valdības dienesti – 12 264 534 euro

Izdevumi paredz līdzekļus domes darbības nodrošināšanai, finanšu vadībai un klientu apkalpošanai, t.sk.:

• iemaksa pašvaldību finanšu izlīdzināšanas fondā 6 917 724 euro

• domes pārvalde 2 120 144 euro

• Informācijas tehnoloģijas un vispārējas nozīmes dienestu darbība un pakalpojumi – datortīkla uzturēšana 517 465 euro

• deputātu atlīdzība 377 185 euro

• komisiju darba atalgojums 229 585 euro

• aizņēmumu procentu maksājumi Valsts kasei 2 102 431 euro

Sabiedriskā kārtība un drošība – 1 114 238 euro

Izdevumi paredzēti pašvaldības policijas darbības nodrošināšanai, uzturot divas patruļu grupas un vienu vecāko inspektoru/operatīvo dežurantu 24 stundu darba režīmā, nodrošinot pastāvīgu informācijas pieņemšanu no iedzīvotājiem, profilaktisko darbu ar nepilngadīgām personām un izbraukumus uz pārkāpumu vietu.

Ekonomiskās darbības izdevumi – 646 058 euro

• Sabiedriskās attiecības 200 531 euro. Izdevumi paredzēti sabiedrisko attiecību veidošanai, iedzīvotāju informēšanai, pašvaldības informatīvā izdevuma un gada kalendāra publicēšanai, kā arī domes reprezentatīvajiem izdevumiem.

• Autoceļa fonda izlietojums 445 527 euro, kas paredzēts pašvaldības ceļu uzturēšanai.

Dabas resursu nodokļa summa 225 687 euro plānoti dabas resursu nodokļa apmaksai, ietekmes uz vidi ziņojuma izstrādei smilts atradnei "ASNI" 36 22 euro un Laveru sūkņu stacijas pārbūvei 111 646 euro (kopējā projekta izmaksu summa 175 500 euro).

Pašvaldības teritoriju un mājokļu apsaimniekošana 18 129 422 euro

Rezerves fonds neparedzētiem gadījumiem – 70 000 euro.

Līdzdalības budžets – 52 568 euro.

Ādažu novada būvvalde – 333 393 euro.

Teritorijas plānošanas nodaļa – 334 779 euro, t.sk. 40 600 euro gala norēķins par "Ādažu novada transporta attīstības plāna" izstrādi.

Nekustamā īpašuma nodaļa – 242 016 euro, t.sk., 30 000 euro nekustamā īpašuma iegāde – zeme zem garāžu kompleksa Alderu ielā 33, Baltezerā, un 35 000 euro SIA "Ādažu ūdens" nododamo zemes gabalu atdalīšanai.

Attīstības un projektu nodaļa 524 909 euro. Šajā pozīcijā ir iekļautas izmaksas projektu dokumentāciju un priekšizpētes izmaksām, kā arī izmaksas dažādu novada konkursu un pasākumu finansēšanai.

Pārējie izdevumi paredzēti apsaimniekošanas pamatdarbību veikšanai, labiekārtošanai un investīciju projektiem:

• 2025. gadā nozīmīgākie ārējo finanšu instrumentu un pašvaldības līdzfinansētie investīciju projekti un konkursi (8 350 098 euro, t. sk. ārfinansējums 5 957 385 euro; aizņēmuma līdzekļi 2 098 792 euro):

○ maģistrālā veloceļa izbūve Rīga–Carnikava 4 425 220

○ "Mobilitātes punkta infrastruktūras izveidošana Rīgas metropoles areālā – "Carnikava"" 985 558

○ projekts "Infrastruktūras uzlabošana uzņēmējdarbības attīstībai Ādažos" 950 824

○ dalība "LIFE_BauhausingEurope" projektā – pašvaldības ēkas atjaunošana un tās apkaimes pārveidošana 434 122

○ "Blusu" kroga pārbūves tehniskā projekta izstrāde 416 333

○ Krastupes ielas projekts 387 128

○ jaunais plūdu projekts – 2.1.3.2. "Nacionālas nozīmes plūdu un krasta erozijas pasākumi" 1. daļa 255 685

○ Gaujas pretplūdu projekta realizācija 191 255

○ publiskās ārtelpas izveidošanas projekts Gaujas ielā 31, Ādažos 138 477

○ projekts "Sabiedrība ar dvēseli" un iedzīvotāju iniciatīvas un konkursi 51 400

○ TEP "Atjaunojamo energoresursu izmantošana Ādažu novadā" (EUCF) 49 346

○ "Upesceļi II/Ūdenstūrisma pieejamības veicināšana (RiverwaysII/ Facilitating access to watertourism activities)" 34 550

○ Rīgas plānošanas reģiona un Ādažu uzņēmējdarbības veicināšanas programmas izveide 2025. gadā 27 000

○ projekts jauniešu asociāciju federācija Eiropas mobilitātei. CERV programmas projekts "YOUTth and democracy: empowering Europe's next generation" 3 200

8 248 659 euro – pašvaldības teritorijas un objektu apsaimniekošanai, izveidošanai, labiekārtošanai un uzturēšanai.

Nozīmīgākās pozīcijas 2025. gadā:

○ teritorijas, ielu un īpašumu apsaimniekošana 5 767 122

Investīcijas ceļu, ielu infrastruktūras attīstībā un uzlabošanā 1 825 310

dubultās virsmas apstrāde (367 000 euro):

– Skolas iela 0,77 km, Ādaži – daļa dubultās virsmas apstrāde, daļa gājēju ietve, bruģis, satiksmes organizācija 265 000

– Pļavu iela 0,46 km, Ādaži 50 000

– Āpšu ielas 0,4 km divkāršā virsmas apstrāde, Garciems 48 000

– Jūras ielā 1,2 km vienkārtas virsmas apstrāde, Carnikava 35 000

– Bērzu iela 0,29 km, Ādaži 32 000

– Depo iela 0,185 km, Ādaži 22 000

seguma atjaunošana – asfaltbetons (1 175 000 euro, t.sk., 510 000 euro aizņēmuma līdzekļi):

– Dzirnupes ielas tilta pārbūve I kārta 600 000

– Ķiršu ielas pārbūve 0,17 km 345 000

– Torņu ielas asfaltbetona seguma atjaunošana 0,35 km 110 000

– L. Azarovas ielas tilta pārbūve uz caurteku (projektēšana 20 000 euro, izbūve 40 000 euro). Kopējā summa 2025.–2026. gadā 210'000 euro 60 000

– Gaujas dambja virskārtas uzlabošana 60 000

satiksmes organizācija (45 000 euro):

– satiksmes organizācijas uzlabošana (paskaidrojuma raksti, gājēju pārejas un to apgaismojums (Austrumu iela, Kadaga) 45 000

projektēšana (153 310 euro):

– Smilšu ielas pārbūve projekts, Carnikava 70 000

– Attekas ielas turpinājums 0,5 km 39 800

– Dzirnupes ielas tilta projekts, Carnikava 37 510

– Sienāžu ielas projekts 6 000

Investīcijas vides pārvaldībā un uzlabošanā 418 784

▪ Baltezera kapu atmežotajā daļā ceļu un celiņu izveidošana 154 143

▪ Laveru sūkņu stacijas pārbūve – kopējās projekta izmaksas 175 500 euro, kur 111 646 euro no dabas resursu nodokļa uzkrājuma un 63 854 euro no teritorijas uzturēšanas izmaksu sadaļas

▪ Mangaļu sūkņu stacijas pārbūves projektēšana 50 000

▪ Baltezera kapos ceļu ierīkošana (apkalpojošais transports un atkritumu izvešana) 50 000

▪ attālināta monitoringa sistēma sūkņu stacijām un slūžām 33 000

▪ caurteku pārbūve Ādažu novadā 20 000

Cemety programmas iegāde un uzstādīšana Baltezera kapiem 15 830

▪ ekspertu atzinumi Carnikavas kapsētas paplašināšanai (VVD prasība) 10 000

▪ Carnikavas kapu paplašināšanas projekts 8 000

▪ Baltezera Komunistiskā masu terora upuru pieminekļa remonts 7 100

▪ ieguvumu analīze un būvprojekta izstrāde atkritumu dalītās vākšanas laukumam, Carnikavā 6 857

Investīcijas energosaimniecības uzlabošanā 237 443

▪ Ielu apgaismojuma projekta izstrāde un būvniecība posmā no dzelzceļa stacijas Gauja līdz ciemam Kāpas 96 400

▪ Ielas apgaismojuma izbūve un projektēšana Attekas iela, Ādažos 45 000

▪ Ielu apgaismojuma projekta izstrāde un būvniecība Rūpnieku iela, Carnikavā (350 m) 40 000

▪ Siltumtīkla pieslēguma būvprojekts un būvniecība, Gaujas iela 16, Ādaži 37 043

▪ Inču ielas apgaismojuma izbūve, gaisvada izbūve 300 m 15 000

▪ Ielu apgaismojuma pārbūves projekts Liepu un Tulpju iela Carnikava (no Tulpju 5 pa Liepu ielu līdz Ziedlejām) 4 000

Atpūta, kultūra, sports un reliģija – 2 552 007 euro

• Ādažu novada kultūras centram 793 277 euro, t.sk., novada svētkiem un pasākumiem 259 950 euro, 2025. gadā plānots turpināt skatuves gaismu sistēmu nomaiņu uz energoefektīvu aprīkojumu.

• Carnikavas kultūras namam "Ozolaine" 526 028 euro, t.sk., novada svētkiem un pasākumiem 223 900 euro.

• Carnikavas novadpētniecības centram 185 916 euro.

• Tūrismam 30 299 euro.

• Ādažu bibliotēkai 158 076 euro.

• Carnikavas bibliotēkai 73 071 euro.

• Sportam un sporta infrastruktūrai 762 112 euro, t.sk.:

○ atbalstam sportistiem un sporta organizācijām 114 488

○ sporta pasākumu rīkošanai 65 130

○ āra trenažieru uzstādīšana pie Ādažu stadiona 25 120

○ Carnikavas skeitparka projektēšana 10 000

• evaņģēliski luterisko draudžu atbalstam 4 000 euro.

• Multifunkcionālās zāles uzturēšanai 19 228 euro.

Izglītība – 33 093 948 euro

• pirmsskolas izglītības iestādei "Strautiņš" 2 529 158 euro, t.sk. mērķdotācija pedagogu darba samaksai un mācību līdzekļiem 361 243 euro.

Investīcijas:

○ interneta tīkla sakārtošana

57 106

○ fasādes remonts

45 000

○ atbalsta sienas demontāža un montāža pie iestādes galvenās ieejas

30 000

○ jumta seguma remonts/maiņa 13 grupu nojumēs

26 000

○ jumta remonts virs 5 grupiņām un ziemas dārza

18 000

○ nožogojuma pārvietošana pie garāžām, atbilstoši plānam

15 000

○ tauku uztvērējs virtuves kanalizācijai

7 000

○ garāžu demontāža un utilizācija (ārpakalpojums)

5 990

○ mazā un lielā baseina membrāna

4 000

○ baseina pretaļģu dozācijas sistēma

2 600

○ esošā žoga demontāža, jauna izbūve

2 374

• pirmsskolas izglītības iestādei "Mežavēji" 1 499 060 euro, t.sk., mērķdotācija pedagogu darba samaksai un mācību līdzekļiem 144 697 euro.

2025. gadā plānots virvju trases papildinājums, kam ieplānoti 10 000 euro.

• pirmsskolas izglītības iestādei "Riekstiņš" 1 850 322 euro, t.sk. mērķdotācija pedagogu darba samaksai un mācību līdzekļiem 200 053 euro.

2025. gadā plānotas sekojošas investīcijas:

○ rotaļiekārtu un seguma maiņa rotaļu laukumā

96 000

○ saules kolektori – karstā ūdens sagatavošanai no aprīļa līdz septembrim

9 300

• pirmsskolas izglītības iestādei "Piejūra" 1 570 891 euro, t.sk. mērķdotācija pedagogu darba samaksai un mācību līdzekļiem 263 376 euro.

• Carnikavas vidusskolai 2 754 926 euro, t.sk.:

○ mērķdotācija pedagogu darba samaksai, mācību līdzekļiem un ēdināšanai

1 634 439

○ projektu "Erasmus+" un "NordPlus" realizācijai

76 968

○ projekta "Skolas soma" realizācijai

11 200

2025. gadā plānotais sekojošas investīcijas:

○ tērpi deju kolektīvam

6 080

○ datorklases datoru nomaiņa (25 gab.)

17 500

• Ādažu vidusskolai 8 902 379 euro, t.sk.:

○ mērķdotācija pedagogu darba samaksai, mācību līdzekļiem

4 620 627

○ pirmsskolas izglītības nodrošināšanai un uzturēšanai

247 845

○ projektu "Erasmus+" realizācijai

51 949

○ mērķdotācija izglītojamo ēdināšanai sākumskolā

263 797

○ projekta "Skolas soma" realizācijai

41 000

Investīcijas:

○ Ādažu vidusskolas ēkas A korpusa, savienojuma daļas starp korpusiem (A un B), vidusskolas centrālās daļas, tai skaitā torņa fasādes atjaunošana

542 914

○ Ādažu vidusskolas D korpusa siltināšana

300 000

○ āra lifta izbūve pie A korpusa

100 000

○ flīžu demontāža/sienu remonts Centrālā kāpņutelpa, D korpuss

50 000

○ tautas tērpi bērnu Dziesmusvētkiem svētkiem

35 691

○ skolēnu galdi un krēsli

35 000

○ gumijas seguma nomaiņa rotaļu laukumā sākumskolas iekšpagalmā

26 620

○ interaktīvie displeji matemātikas, angļu val. un ķīmijas kabinetos

12 500

○ taburetes sākumskolas ēdamzālei

10 000

• Ādažu novada Mākslu skolai 1 819 829 euro, t.sk.:

○ mērķdotācija pedagogu darba samaksai

735 359

○ tērpu iegāde bērnu Dziesmusvētkiem

11 400

• Ādažu Bērnu un jaunatnes sporta skolai 845 947 euro, t.sk. mērķdotācija pedagogu darba samaksai 313 283 euro.

• finansējums, kas pārskaitāms citām pašvaldībām par izglītības pakalpojumiem, jo bērni no Ādažu novada apmeklē izglītības iestādes citos novados plānots 851 975 euro apmērā.

• finansējums bērnu uzturēšanai privātajās izglītības iestādēs 3 805 461 euro.

• Izglītības un jaunatnes lietu pārvaldei 511 477 euro, t.sk.:

○ skolēnu vasaras nodarbinātība 82 353

○ radošajām darbnīcām vasarā 39 400

○ labāko skolēnu apbalvošanai 25 720

○ sabiedriskā transporta izdevumu apmaksu profesionālo skolu izglītojamo nokļūšanai uz mācību iestādēm speciālajām izglītības iestādēm 20 000

○ mācību jomu koordinātora un pedagoģiski medicīniskās komisijas pakalpojums 19 885

○ projekta "Digitālā darba ar jaunatni sistēmas attīstība pašvaldībā" priekšfinansējums 10 480

○ novada pedagogu ikgadējā konference 6 000

○ jauniešu iniciatīvu projektu finansēšanai 4 000

○ rezerve skolēnu līdzfinansējumam dalībai konkursos 3 000

• Jaunas pirmsskolas izglītības iestādes būvniecība Podniekos 5 600 179

• Teritorijas novērtēšana pirms būvprojekta izstrādes un būvprojekts jaunas pamatskolas izveidei Ādažu pilsētā 267 067

• Latvijas Skolu jaunatnes dziesmu un deju svētki 285 277

Sociālā aizsardzība 3 538 928 euro, t.sk.:

• dažādu veidu pabalstiem 1 540 233

• mērķdotācijai asistentu pakalpojumiem 580 000

• daudzbērnu ģimeņu atbalstam un atbalsta sistēmas nodrošināšanai 217 400

• pabalsts/ līdzfinansējums par ēdināšanu (EUR 1/dienā 5.–9. klase) 180 000

• valsts dotācija Ukrainas pilsoņu atbalstam 70 604

• deinstitucionalizācijas centra uzturēšanai 444 938

• zupas virtuve 25 410

• iniciatīvas projektu konkursam biedrībām 15 000

• Ādažu novada bāriņtiesas darbības nodrošināšanai 158 418

• ANM pasākuma "Atbalsta pasākumi cilvēkiem ar invaliditāti mājokļu vides pieejamības nodrošināšanai" projekts 44 312

• Pasākumi vietējās sabiedrības veselības veicināšanai 44 830

Pašvaldības aizņēmumi un galvojumi

Saskaņā ar aizņēmumu līgumiem ar Valsts kasi un plānotajiem aizņēmumiem, 2025. gadā paredzēts atmaksāt aizņēmumu pamatsummas 3 467 034 euro.

2025. gadā pašvaldība paredz aizņēmumus Valsts kasē 6 608 118 euro apmērā Eiropas Savienības struktūrfondu līdzfinansētiem projektiem, Jaunas pirmsskolas izglītības iestādes būvniecībai Podniekos, Ādažu vidusskolas atjaunošanai kā arī infrastruktūras uzlabošanai.

Kopumā 2025. gada Ādažu novada pašvaldības budžets ir vērtējams kā pašvaldības funkciju izpildi līdzšinējā kvalitātē nodrošinošs budžets ierobežotas finanšu pieejamības apstākļos, kas saistīta galvenokārt ar valsts definēto 2025. gada valsts budžeta prioritāti – drošība, kā rezultātā pašvaldībām tās budžetos ir ļoti nenozīmīgs ieņēmumu pieaugums.

Ādažu novada pašvaldības domes priekšsēdētāja K. Miķelsone
4. pielikums
Ādažu novada pašvaldības
2025. gada 22. janvāra
saistošajiem noteikumiem Nr. 1/2025

(Pielikums Ādažu novada domes 22.12.2025. saistošo noteikumu Nr. 47/2025 redakcijā)

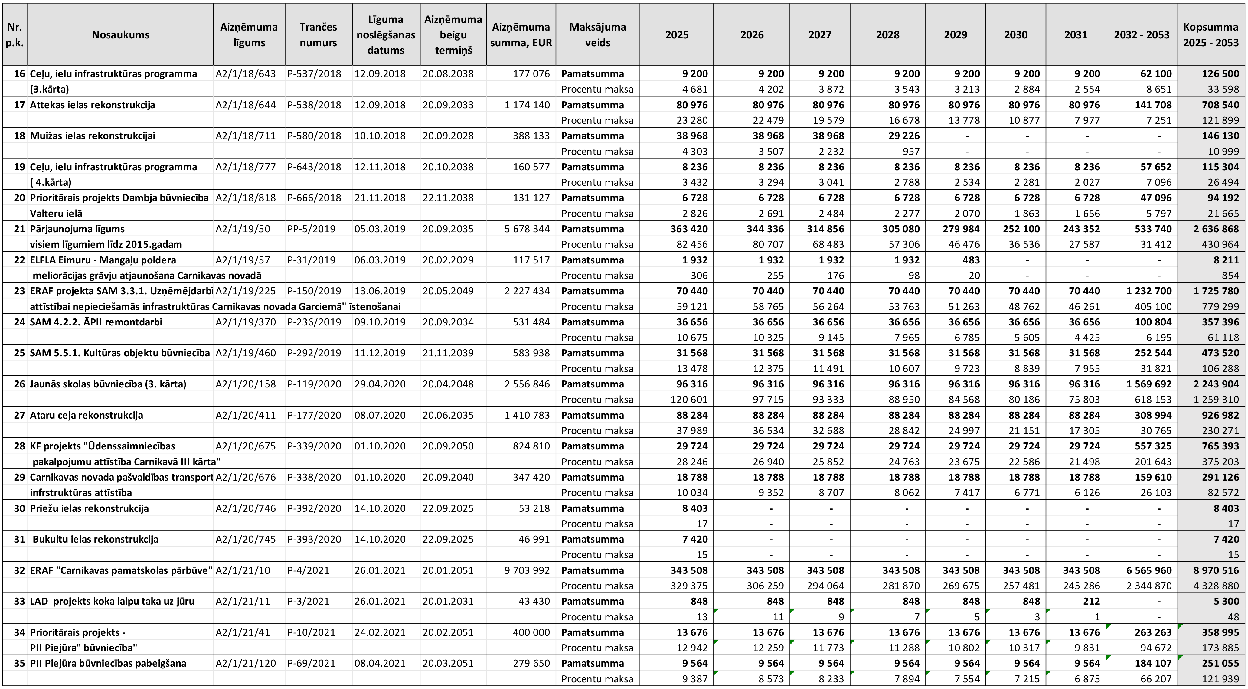
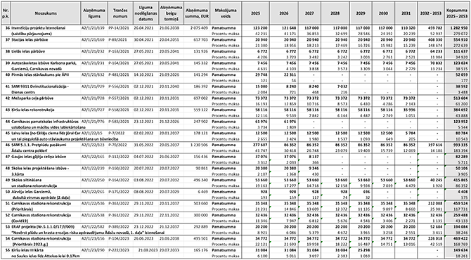
Aizņēmumu un citu ilgtermiņa saistību pārskats

5. pielikums
Ādažu novada pašvaldības
2025. gada 22. janvāra
saistošajiem noteikumiem Nr. 1/2025
Ieņēmumu un izdevumu sadalījums pa funkcionālajām kategorijām un ekonomiskās klasifikācijas kodiem

Ieņēmumu avoti un izdevumi atbilstīgi funkcionālajām un ekonomiskajām kategorijām

2025. gada plāns

 KOPĀ IEŅĒMUMI AR FINANSĒŠANU

75 096 763

I.KOPĀ IEŅĒMUMI

61 794 402

1.0.0.0.Ienākuma nodokļi

39 439 118

4.0.0.0.Īpašuma nodokļi

3 211 340

5.0.0.0.Nodokļi par pakalpojumiem un precēm

65 000

8.0.0.0.Ieņēmumi no uzņēmējdarbības un īpašuma

20 000

9.0.0.0.Valsts (pašvaldību) nodevas un kancelejas nodevas

144 060

10.0.0.0.Naudas sodi un sankcijas

130 000

12.0.0.0.Pārējie nenodokļu ieņēmumi

15 728

13.0.0.0.Ieņēmumi no pašvaldības īpašumu pārdošanas

18.0.0.0.Valsts budžeta transferti

17 627 162

19.0.0.0.Pašvaldību budžetu transferti

350 000

21.0.0.0.Maksas pakalpojumi un citi pašu ieņēmumi

791 994

F 40020010Aizņēmumi Valsts kasē

6 608 118

F 40320010Naudas līdzekļu atlikums

6 694 243

 
II.KOPĀ IZDEVUMI AR FINANSĒŠANU

75 031 856

II.1Izdevumi atbilstoši funkcionālajām kategorijām

71 564 822

01.000Vispārējie valdības dienesti

12 264 534

03.000Sabiedriskā kārtība un drošība

1 114 238

04.000Ekonomiskā darbība

646 058

05.000Vides aizsardzība

225 687

06.000Teritoriju un mājokļu apsaimniekošana

18 129 422

08.000Atpūta, kultūra un reliģija

2 552 007

09.000Izglītība

33 093 948

10.000Sociālā aizsardzība

3 538 928

F 40320020Aizņēmumu atmaksa

3 467 034

 
II.2Izdevumi atbilstoši ekonomiskajām kategorijām

75 031 856

1000Atlīdzība

25 844 773

2000Preces un pakalpojumi

11 669 472

3000Subsīdijas un dotācijas

259 373

4000Procentu izdevumi

2 102 431

5000Pamatkapitāla veidošana

18 281 219

6000Sociālie pabalsti

1 642 214

7000Uzturēšanas izdevumu transferti, pašu resursu maksājumi, starptautiskā sadarbība

11 765 340

F 40320020Aizņēmumu atmaksa

3 467 034

Ādažu novada pašvaldības domes priekšsēdētāja K. Miķelsone
 
Tiesību akta pase
Nosaukums: Par Ādažu novada pašvaldības budžetu 2025. gadam Statuss:
Zaudējis spēku
zaudējis spēku
Izdevējs: Ādažu novada dome Veids: saistošie noteikumi Numurs: 1/2025Pieņemts: 22.01.2025.Stājas spēkā: 29.01.2025.Zaudē spēku: 01.01.2026.Publicēts: Latvijas Vēstnesis, 19, 28.01.2025. OP numurs: 2025/19.14
Saistītie dokumenti
  • Grozījumi
  • Izdoti saskaņā ar
358230
{"selected":{"value":"31.12.2025","content":"<font class='s-1'>31.12.2025.-31.12.2025.<\/font> <font class='s-2'>V\u0113sturisk\u0101<\/font>"},"data":[{"value":"31.12.2025","iso_value":"2025\/12\/31","content":"<font class='s-1'>31.12.2025.-31.12.2025.<\/font> <font class='s-2'>V\u0113sturisk\u0101<\/font>"},{"value":"31.10.2025","iso_value":"2025\/10\/31","content":"<font class='s-1'>31.10.2025.-30.12.2025.<\/font> <font class='s-2'>V\u0113sturisk\u0101<\/font>"},{"value":"02.09.2025","iso_value":"2025\/09\/02","content":"<font class='s-1'>02.09.2025.-30.10.2025.<\/font> <font class='s-2'>V\u0113sturisk\u0101<\/font>"},{"value":"03.07.2025","iso_value":"2025\/07\/03","content":"<font class='s-1'>03.07.2025.-01.09.2025.<\/font> <font class='s-2'>V\u0113sturisk\u0101<\/font>"},{"value":"06.06.2025","iso_value":"2025\/06\/06","content":"<font class='s-1'>06.06.2025.-02.07.2025.<\/font> <font class='s-2'>V\u0113sturisk\u0101<\/font>"},{"value":"03.04.2025","iso_value":"2025\/04\/03","content":"<font class='s-1'>03.04.2025.-05.06.2025.<\/font> <font class='s-2'>V\u0113sturisk\u0101<\/font>"},{"value":"29.01.2025","iso_value":"2025\/01\/29","content":"<font class='s-1'>29.01.2025.-02.04.2025.<\/font> <font class='s-2'>Pamata<\/font>"}]}
31.12.2025
424
1
  • X
  • Facebook
  • Draugiem.lv
 
0
Šajā vietnē oficiālais izdevējs
"Latvijas Vēstnesis" nodrošina tiesību aktu
sistematizācijas funkciju.

Sistematizēti tiesību akti ir informatīvi. Pretrunu gadījumā vadās pēc oficiālās publikācijas.
Par Likumi.lv
Aktualitātes
Noderīgas saites
Atsauksmēm
Kontakti
Mobilā versija
Lietošanas noteikumi
Privātuma politika
Sīkdatnes
Piekļūstamība
Latvijas Vēstnesis "Ikvienam ir tiesības zināt savas tiesības."
Latvijas Republikas Satversmes 90. pants
© Oficiālais izdevējs "Latvijas Vēstnesis"